Официальное опубликование правовых актов
ОФИЦИАЛЬНОЕ ОПУБЛИКОВАНИЕ
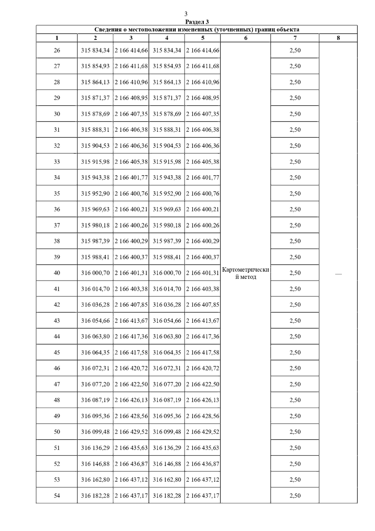
Постановление Главного управления архитектуры и градостроительства Рязанской области от 20.12.2024 № 801-п
"Об утверждении изменения в генеральный план муниципального образования – Александро-Невское городское поселение Александро-Невского муниципального района Рязанской области"
(Зарегистрирован 23.12.2024 № 1622)
Номер опубликования: 6201202412260046
Дата опубликования: 26.12.2024
Страница №5 из 17:
Увеличить