Официальное опубликование правовых актов
ОФИЦИАЛЬНОЕ ОПУБЛИКОВАНИЕ
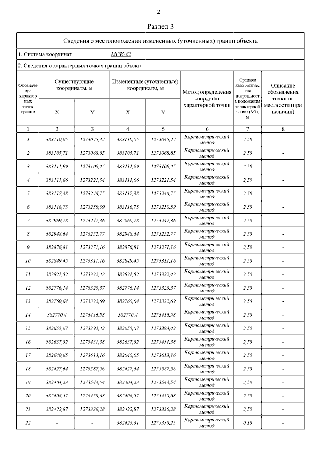
Постановление Главного управления архитектуры и градостроительства Рязанской области от 09.01.2025 № 4-п
"Об утверждении изменений в генеральный план муниципального образования – Горностаевское сельское поселение Михайловского муниципального района Рязанской области"
(Зарегистрирован 10.01.2025 № 6)
Номер опубликования: 6201202501150001
Дата опубликования: 15.01.2025
Страница №4 из 5:
Увеличить