Официальное опубликование правовых актов
ОФИЦИАЛЬНОЕ ОПУБЛИКОВАНИЕ
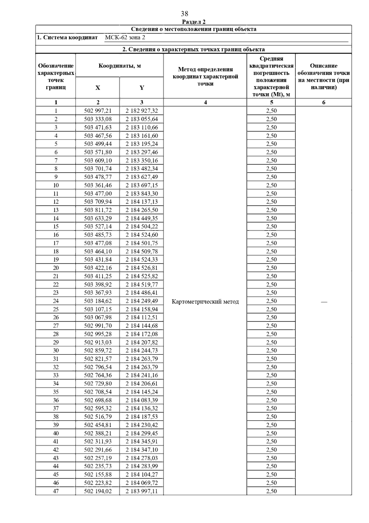
Постановление Главного управления архитектуры и градостроительства Рязанской области от 25.03.2025 № 216-п
"Об утверждении изменения в генеральный план муниципального образования – Оськинское сельское поселение Клепиковского муниципального района Рязанской области"
(Зарегистрирован 25.03.2025 № 340)
Номер опубликования: 6201202503280013
Дата опубликования: 28.03.2025
Страница №40 из 70:
Увеличить