Официальное опубликование правовых актов
ОФИЦИАЛЬНОЕ ОПУБЛИКОВАНИЕ
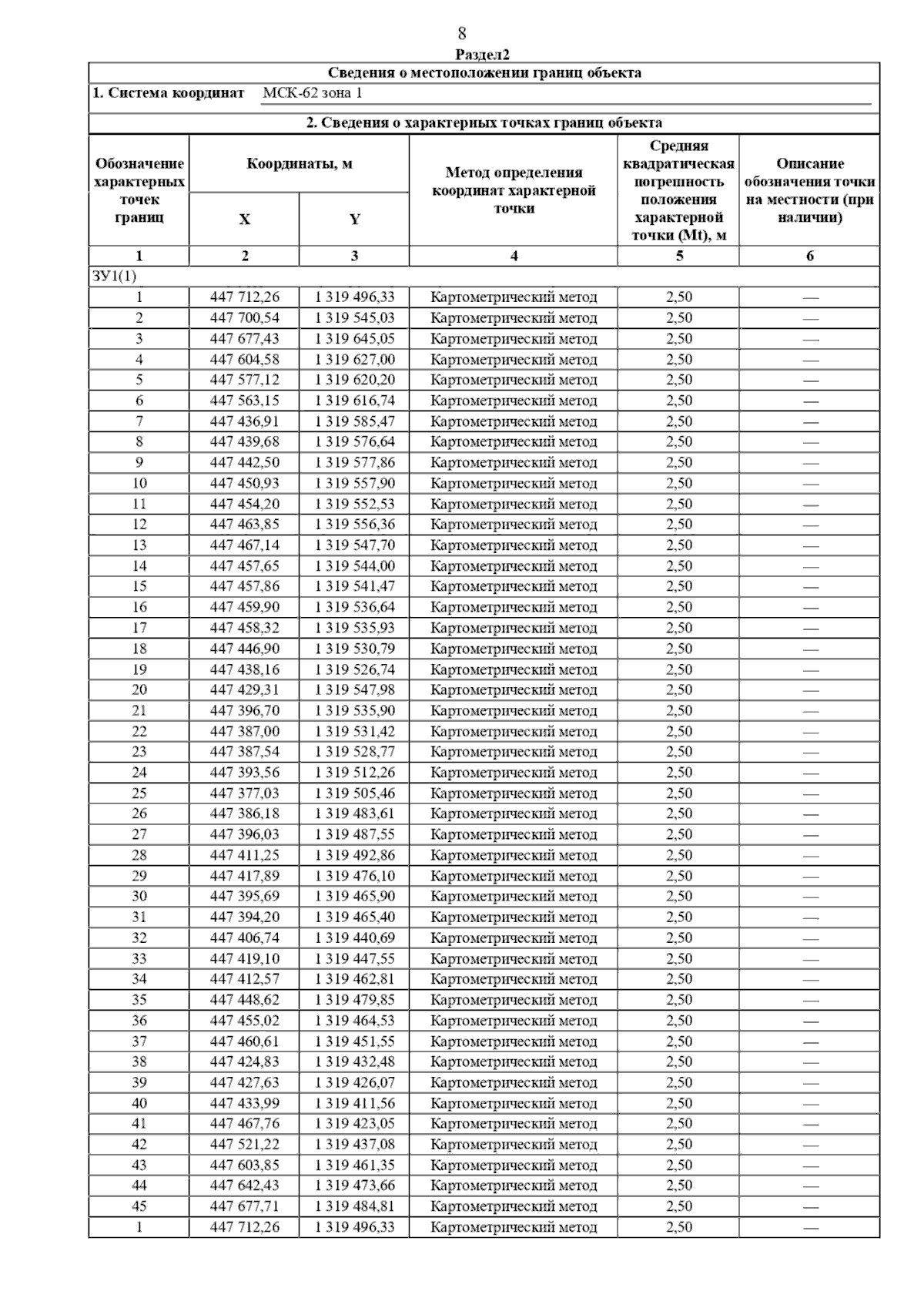
Постановление Главного управления архитектуры и градостроительства Рязанской области от 27.03.2025 № 226-п
"Об утверждении изменений в правила землепользования и застройки муниципального образования - Тюшевское сельское поселение Рязанского муниципального района Рязанской области"
(Зарегистрирован 28.03.2025 № 360)
Номер опубликования: 6201202504010006
Дата опубликования: 01.04.2025
Страница №20 из 31:
Увеличить