Официальное опубликование правовых актов
ОФИЦИАЛЬНОЕ ОПУБЛИКОВАНИЕ
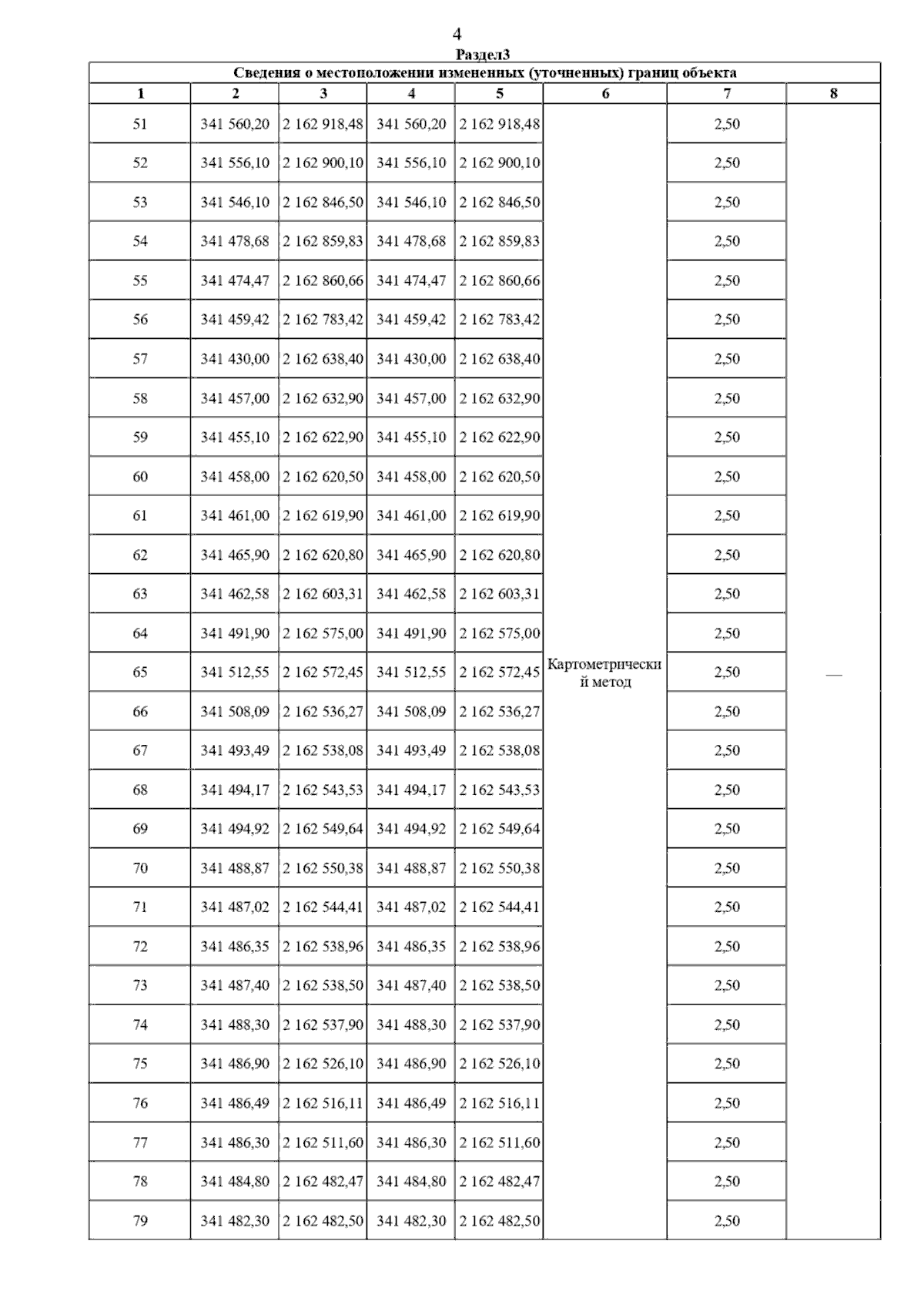
Постановление Главного управления архитектуры и градостроительства Рязанской области от 28.03.2025 № 233-п
"Об утверждении изменений в правила землепользования и застройки муниципального образования - Ряжский муниципальный округ Рязанской области применительно к территориям города Ряжск с прилегающей территорией, Алешинского и Журавинского сельских округов Ряжского района Рязанской области"
(Зарегистрирован 31.03.2025 № 370)
Номер опубликования: 6201202504020008
Дата опубликования: 02.04.2025
Страница №68 из 95:
Увеличить