Официальное опубликование правовых актов
ОФИЦИАЛЬНОЕ ОПУБЛИКОВАНИЕ
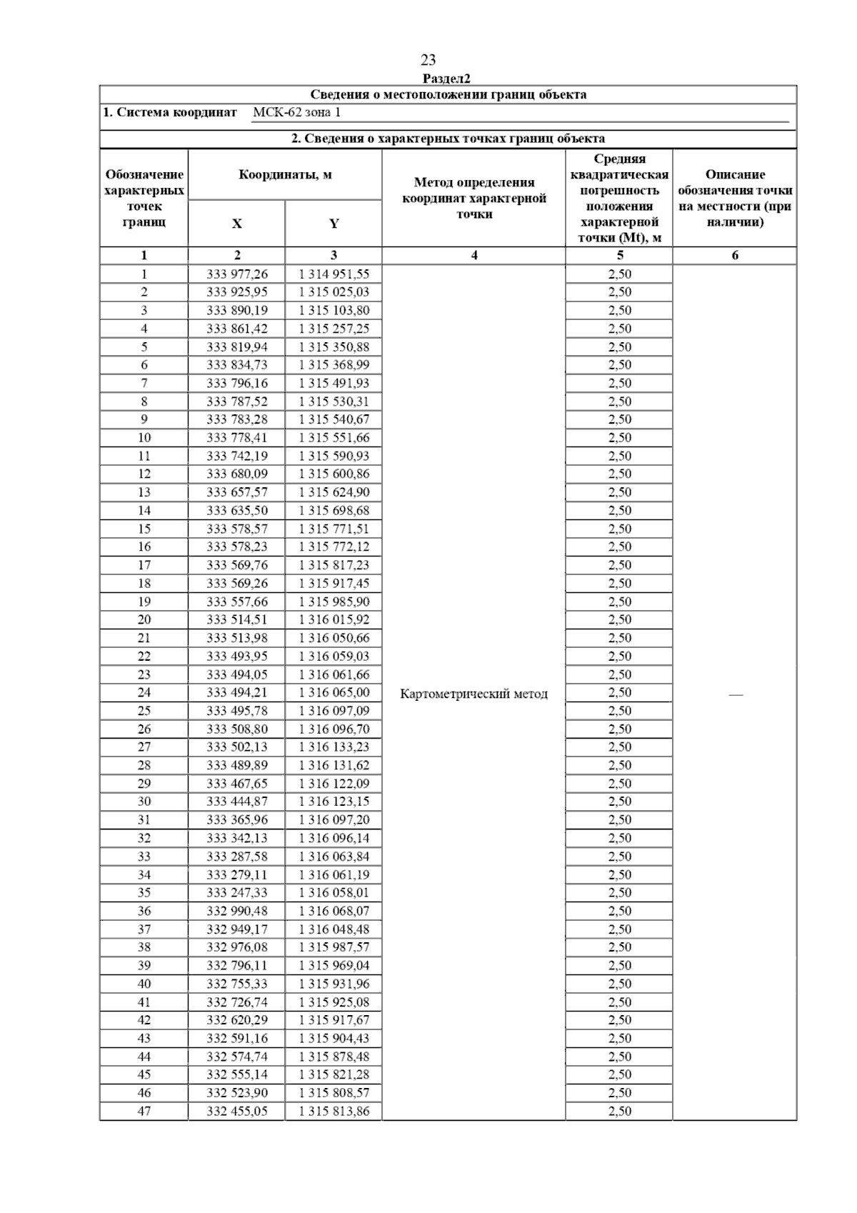
Постановление Главного управления архитектуры и градостроительства Рязанской области от 02.04.2025 № 239-п
"Об утверждении изменения в генеральный план муниципального образования – Горняцкое сельское поселение Милославского муниципального района Рязанской области"
(Зарегистрирован 03.04.2025 № 385)
Номер опубликования: 6201202504070006
Дата опубликования: 07.04.2025
Страница №25 из 64:
Увеличить