Официальное опубликование правовых актов
ОФИЦИАЛЬНОЕ ОПУБЛИКОВАНИЕ
Постановление Главного управления архитектуры и градостроительства Рязанской области от 03.04.2025 № 245-п
"Об утверждении изменения в генеральный план муниципального образования – Калининское сельское поселение Ухоловского муниципального района Рязанской области"
(Зарегистрирован 04.04.2025 № 399)
Номер опубликования: 6201202504090007
Дата опубликования: 09.04.2025
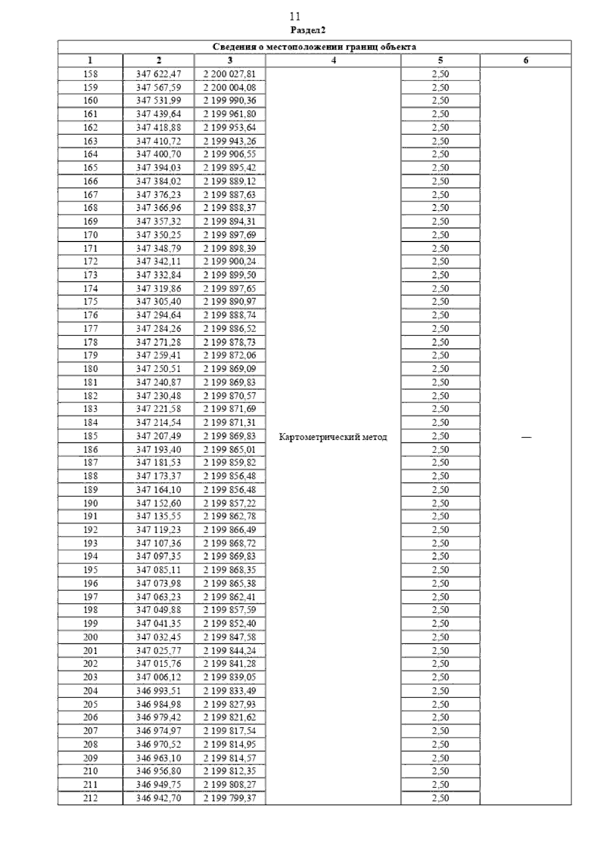
Страница №13 из 28:
Увеличить