Официальное опубликование правовых актов
ОФИЦИАЛЬНОЕ ОПУБЛИКОВАНИЕ
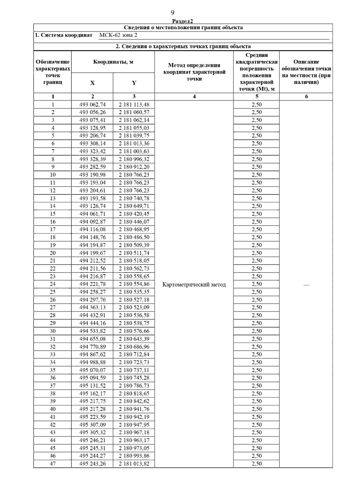
Постановление Главного управления архитектуры и градостроительства Рязанской области от 14.04.2025 № 276-п
"Об утверждении изменения в генеральный план муниципального образования – Бусаевское сельское поселение Клепиковского муниципального района Рязанской области"
(Зарегистрирован 15.04.2025 № 438)
Номер опубликования: 6201202504220001
Дата опубликования: 22.04.2025
Страница №11 из 57:
Увеличить