Официальное опубликование правовых актов
ОФИЦИАЛЬНОЕ ОПУБЛИКОВАНИЕ
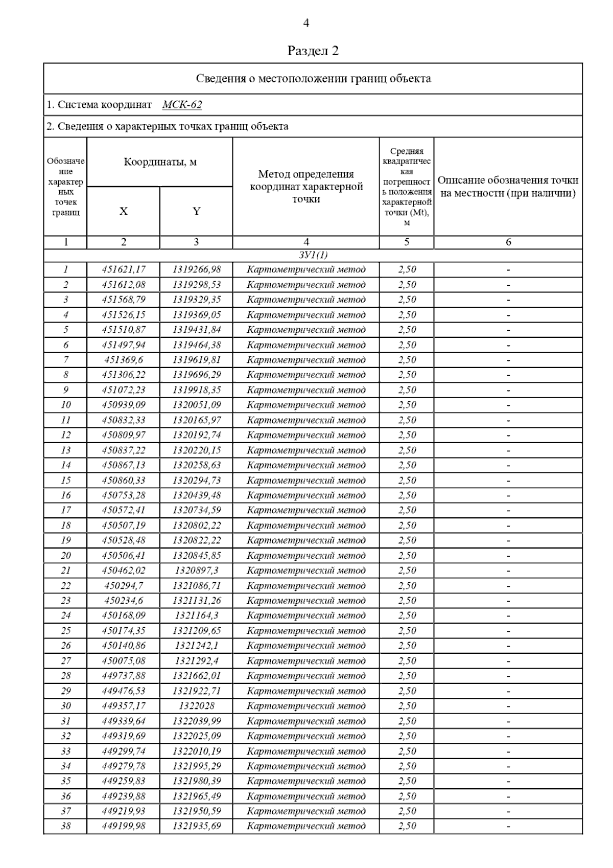
Постановление Главного управления архитектуры и градостроительства Рязанской области от 14.04.2025 № 281-п
"Об утверждении изменений в правила землепользования и застройки муниципального образования – Тюшевское сельское поселение Рязанского муниципального района Рязанской области"
(Зарегистрирован 15.04.2025 № 443)
Номер опубликования: 6201202504220005
Дата опубликования: 22.04.2025
Страница №8 из 24:
Увеличить