Официальное опубликование правовых актов
ОФИЦИАЛЬНОЕ ОПУБЛИКОВАНИЕ
Постановление Главного управления архитектуры и градостроительства Рязанской области от 14.04.2025 № 279-п
"Об утверждении правил землепользования и застройки муниципального образования – Напольновское сельское поселение Сараевского муниципального района Рязанской области"
(Зарегистрирован 15.04.2025 № 441)
Номер опубликования: 6201202504230007
Дата опубликования: 23.04.2025
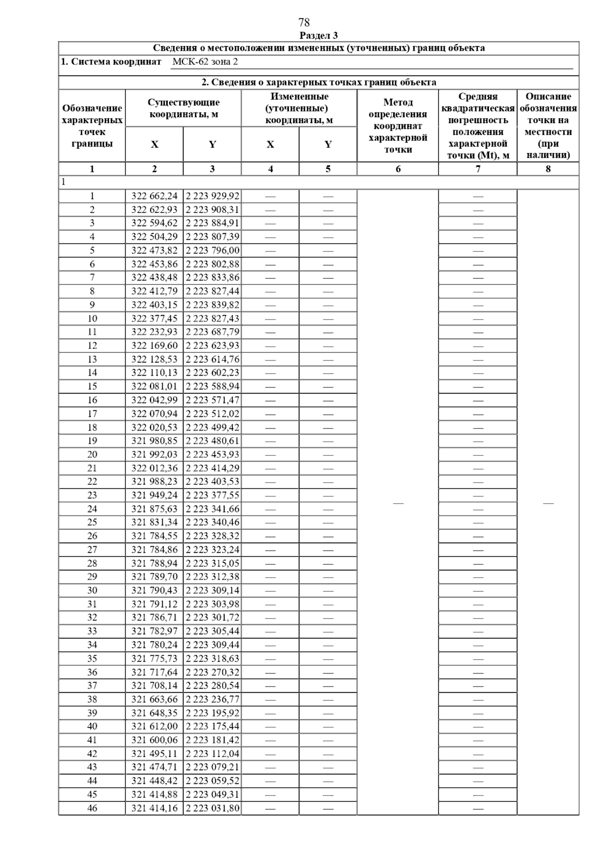
Страница №107 из 162:
Увеличить