Официальное опубликование правовых актов
ОФИЦИАЛЬНОЕ ОПУБЛИКОВАНИЕ
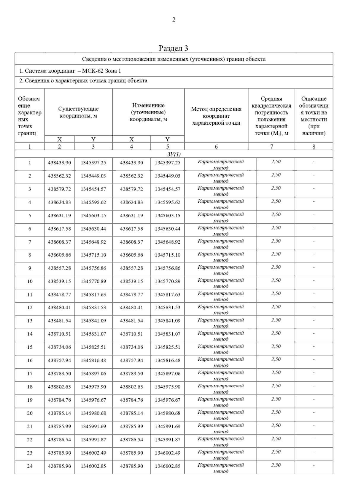
Постановление Главного управления архитектуры и градостроительства Рязанской области от 25.04.2025 № 309-п
"О внесении изменений в генеральный план муниципального образования – Льговское сельское поселение Рязанского муниципального района Рязанской области"
(Зарегистрирован 28.04.2025 № 498)
Номер опубликования: 6201202504300008
Дата опубликования: 30.04.2025
Страница №7 из 10:
Увеличить