Официальное опубликование правовых актов
ОФИЦИАЛЬНОЕ ОПУБЛИКОВАНИЕ
Постановление Главного управления архитектуры и градостроительства Рязанской области от 05.05.2025 № 329-п
"Об утверждении генерального плана муниципального образования – Мамоновское сельское поселение Пронского муниципального района Рязанской области"
(Зарегистрирован 05.05.2025 № 525)
Номер опубликования: 6201202505060003
Дата опубликования: 06.05.2025
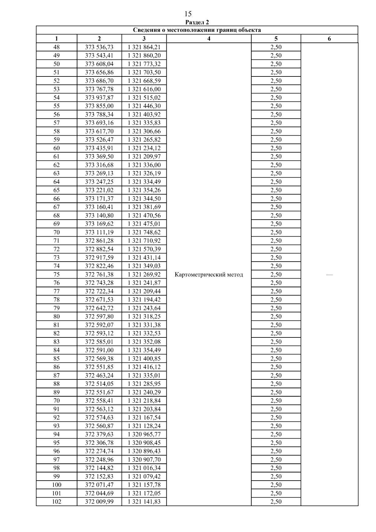
Страница №25 из 45:
Увеличить