Официальное опубликование правовых актов
ОФИЦИАЛЬНОЕ ОПУБЛИКОВАНИЕ
Постановление Главного управления архитектуры и градостроительства Рязанской области от 05.05.2025 № 326-п
"Об утверждении правил землепользования и застройки муниципального образования – Березниковское сельское поселение Сапожковского муниципального района Рязанской области"
(Зарегистрирован 05.05.2025 № 522)
Номер опубликования: 6201202505060006
Дата опубликования: 06.05.2025
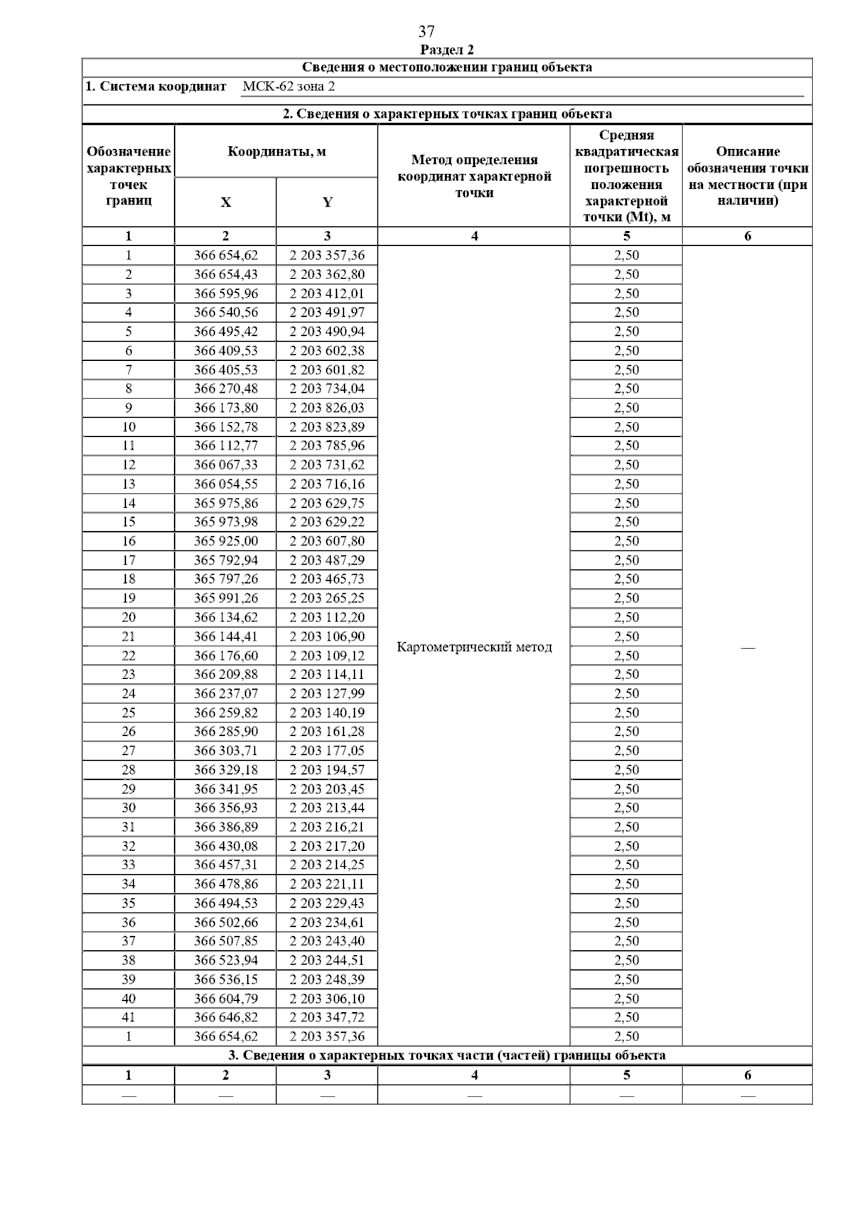
Страница №72 из 90:
Увеличить