Официальное опубликование правовых актов
ОФИЦИАЛЬНОЕ ОПУБЛИКОВАНИЕ
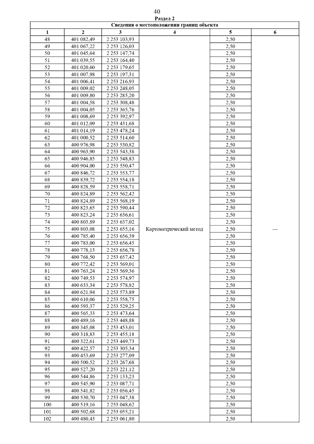
Постановление Главного управления архитектуры и градостроительства Рязанской области от 14.05.2025 № 362-п
"Об утверждении генерального плана муниципального образования – Ункосовское сельское поселение Чучковского муниципального района Рязанской области"
(Зарегистрирован 15.05.2025 № 563)
Номер опубликования: 6201202505200005
Дата опубликования: 20.05.2025
Страница №50 из 67:
Увеличить