Официальное опубликование правовых актов
ОФИЦИАЛЬНОЕ ОПУБЛИКОВАНИЕ
Постановление Главного управления архитектуры и градостроительства Рязанской области от 15.05.2025 № 365-п
"Об утверждении правил землепользования и застройки муниципального образования – Гребневское сельское поселение Старожиловского муниципального района Рязанской области"
(Зарегистрирован 15.05.2025 № 566)
Номер опубликования: 6201202505210006
Дата опубликования: 21.05.2025
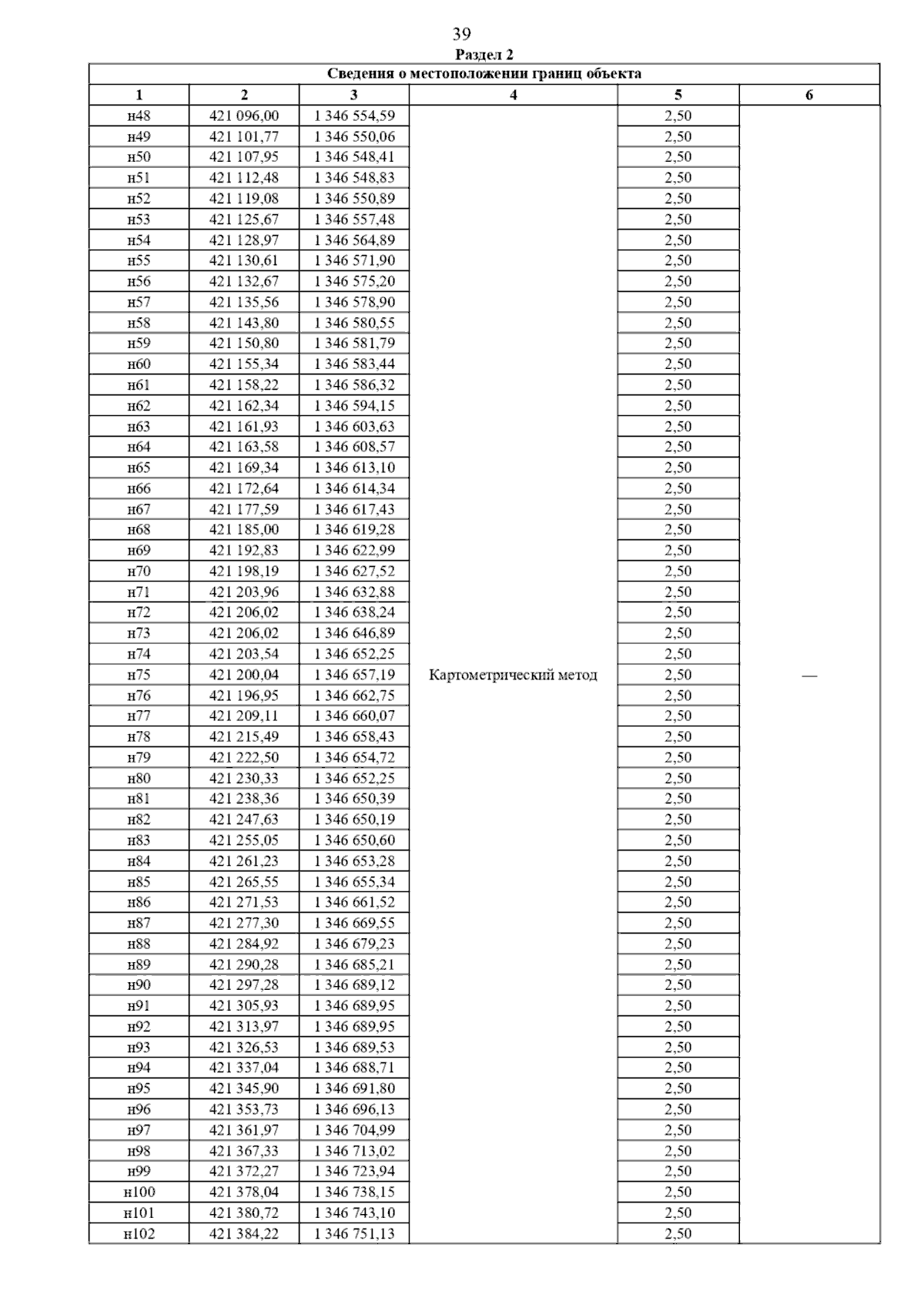
Страница №76 из 172:
Увеличить