Официальное опубликование правовых актов
ОФИЦИАЛЬНОЕ ОПУБЛИКОВАНИЕ
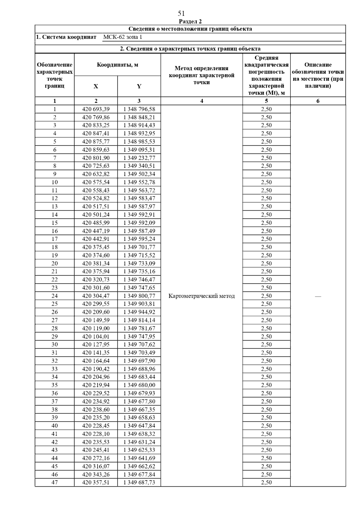
Постановление Главного управления архитектуры и градостроительства Рязанской области от 15.05.2025 № 364-п
"Об утверждении генерального плана муниципального образования - Гребневское сельское поселение Старожиловского муниципального района Рязанской области"
(Зарегистрирован 15.05.2025 № 565)
Номер опубликования: 6201202505210007
Дата опубликования: 21.05.2025
Страница №61 из 98:
Увеличить