Официальное опубликование правовых актов
ОФИЦИАЛЬНОЕ ОПУБЛИКОВАНИЕ
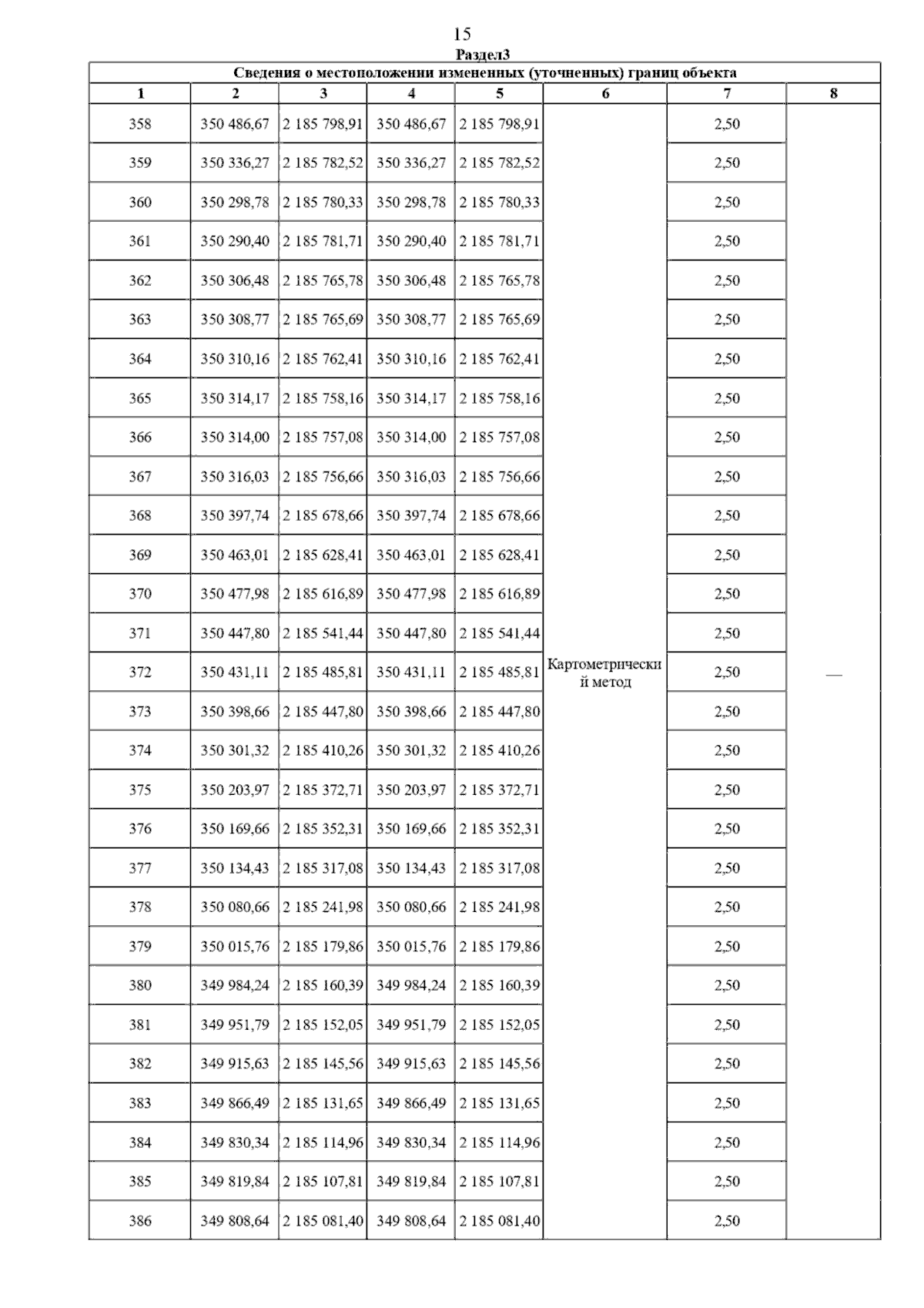
Постановление Главного управления архитектуры и градостроительства Рязанской области от 19.05.2025 № 378-п
"Об утверждении изменений в правила землепользования и застройки муниципального образования - Ухоловское городское поселение Ухоловского муниципального района Рязанской области"
(Зарегистрирован 19.05.2025 № 583)
Номер опубликования: 6201202505220005
Дата опубликования: 22.05.2025
Страница №100 из 105:
Увеличить