Официальное опубликование правовых актов
ОФИЦИАЛЬНОЕ ОПУБЛИКОВАНИЕ
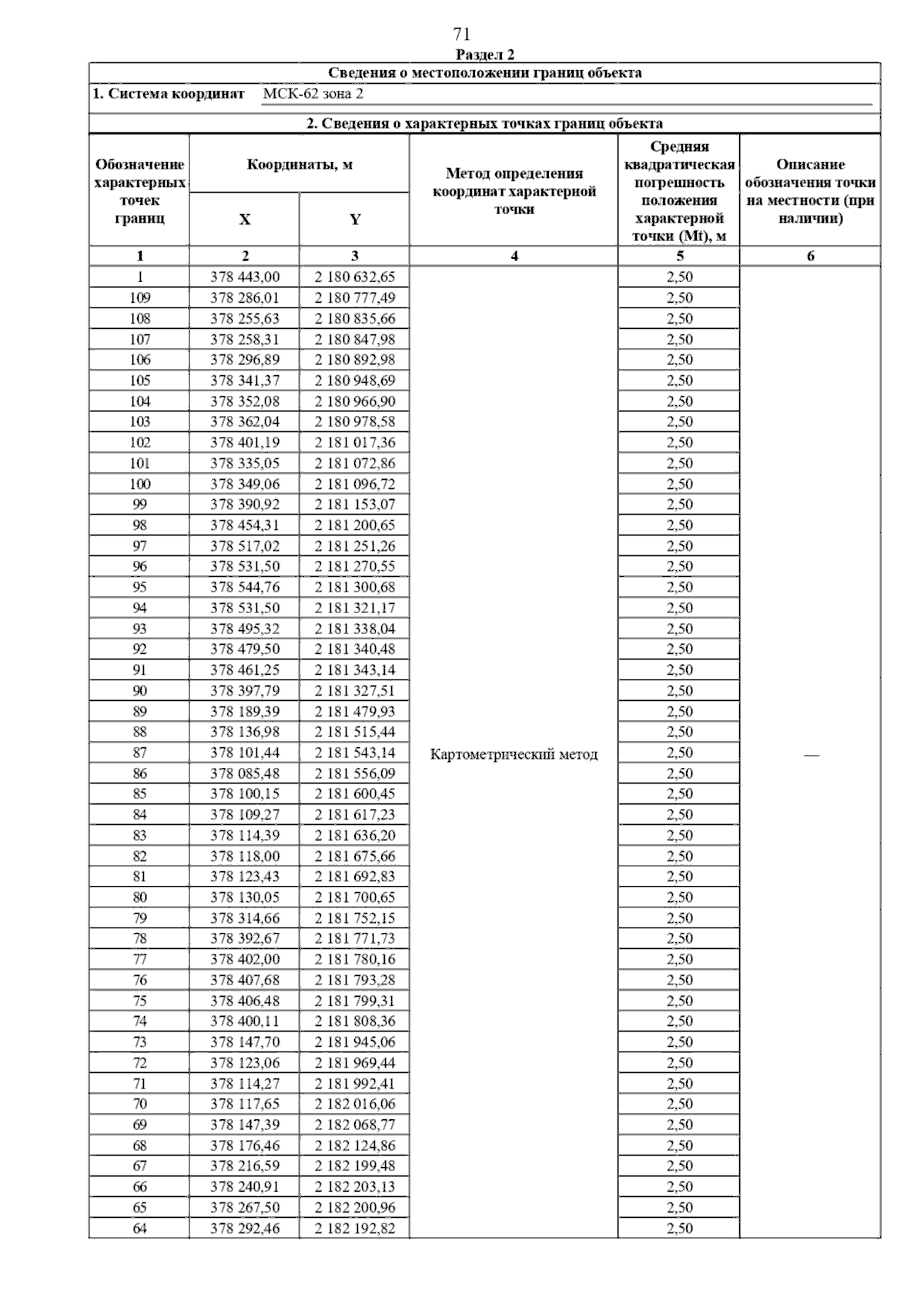
Постановление Главного управления архитектуры и градостроительства Рязанской области от 21.05.2025 № 392-п
"Об утверждении изменений в правила землепользования и застройки муниципального образования - Канинское сельское поселение Сапожковского муниципального района Рязанской области"
(Зарегистрирован 22.05.2025 № 604)
Номер опубликования: 6201202505260005
Дата опубликования: 26.05.2025
Страница №84 из 112:
Увеличить