Официальное опубликование правовых актов
ОФИЦИАЛЬНОЕ ОПУБЛИКОВАНИЕ
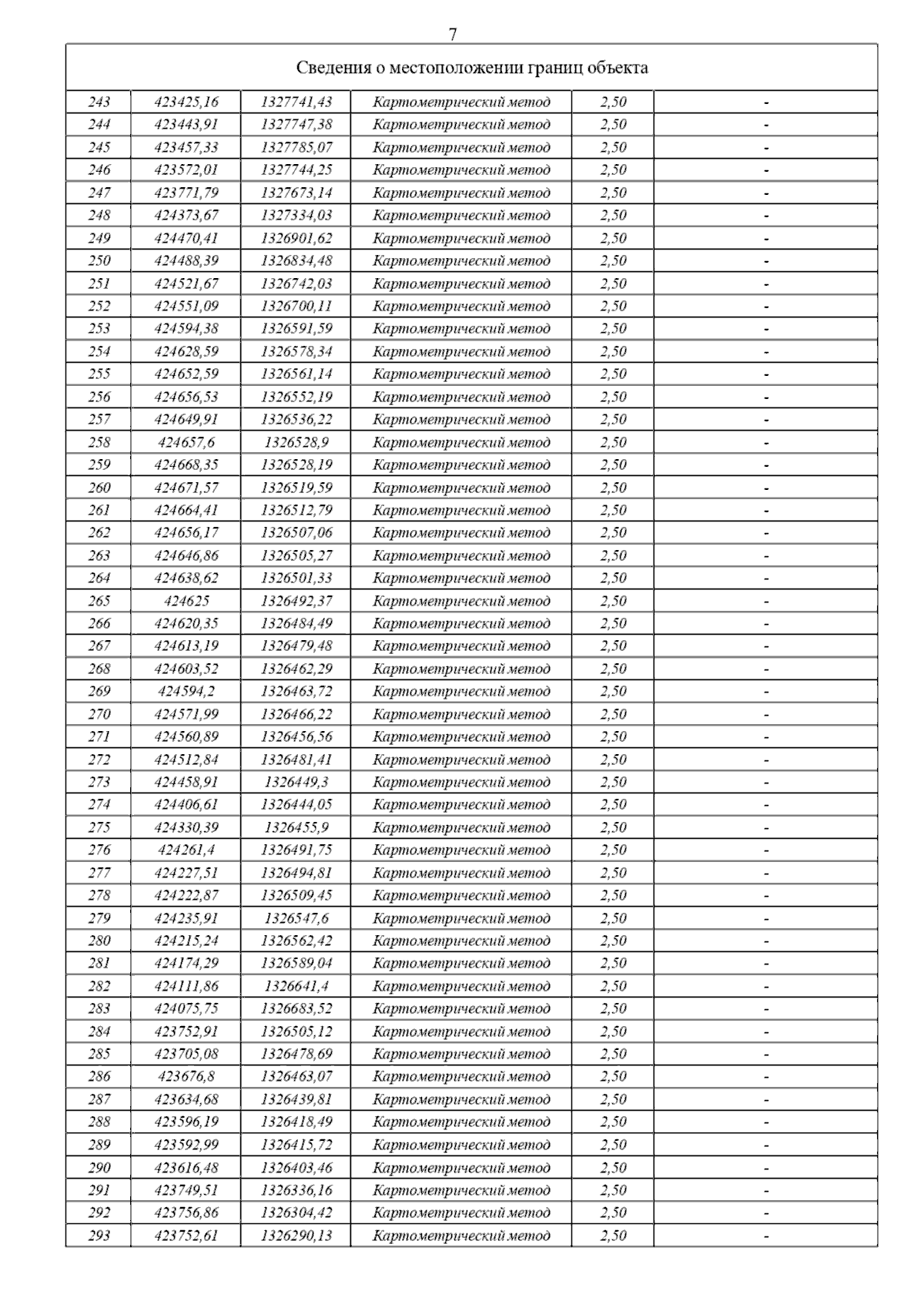
Постановление Главного управления архитектуры и градостроительства Рязанской области от 06.06.2025 № 448-п
"О внесении изменений в правила землепользования и застройки муниципального образования – Окское сельское поселение Рязанского муниципального района Рязанской области"
(Зарегистрирован 09.06.2025 № 694)
Номер опубликования: 6201202506120005
Дата опубликования: 12.06.2025
Страница №9 из 195:
Увеличить