Официальное опубликование правовых актов
ОФИЦИАЛЬНОЕ ОПУБЛИКОВАНИЕ
Постановление Главного управления архитектуры и градостроительства Рязанской области от 25.08.2025 № 701-п
"О внесении изменений в правила землепользования и застройки муниципального образования – Кирицкое сельское поселение Спасского муниципального района Рязанской области"
(Зарегистрирован 26.08.2025 № 1031)
Номер опубликования: 6201202508280003
Дата опубликования: 28.08.2025
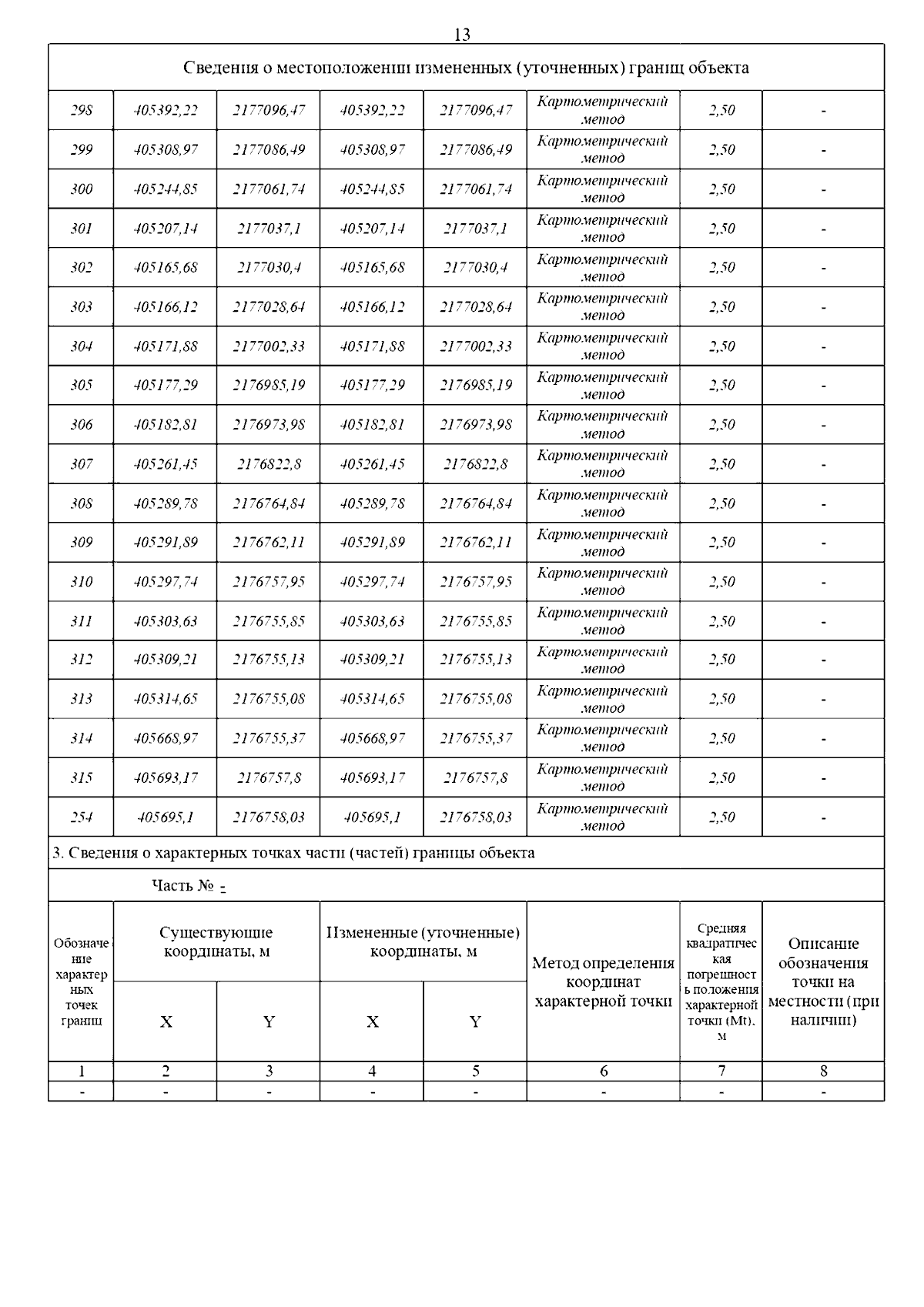
Страница №15 из 21:
Увеличить