Официальное опубликование правовых актов
ОФИЦИАЛЬНОЕ ОПУБЛИКОВАНИЕ
Постановление Главного управления архитектуры и градостроительства Рязанской области от 26.08.2025 № 703-п
"О внесении изменений в правила землепользования и застройки муниципального образования – Касимовский муниципальный округ Рязанской области применительно к территории Лощининского сельского округа Касимовского района Рязанской области, за исключением территории кадастровых кварталов 62:04:0040102, 62:04:0040103"
(Зарегистрирован 27.08.2025 № 1034)
Номер опубликования: 6201202508290007
Дата опубликования: 29.08.2025
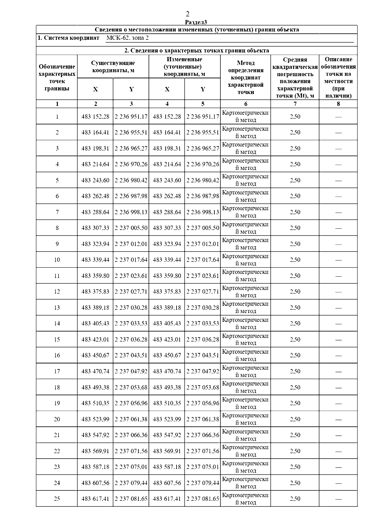
Страница №4 из 6:
Увеличить