Официальное опубликование правовых актов
ОФИЦИАЛЬНОЕ ОПУБЛИКОВАНИЕ
Постановление Главного управления архитектуры и градостроительства Рязанской области от 02.09.2025 № 731-п
"О внесении изменений в генеральный план муниципального образования – Павелецкое городское поселение Скопинского муниципального района Рязанской области"
(Зарегистрирован 03.09.2025 № 1070)
Номер опубликования: 6201202509050003
Дата опубликования: 05.09.2025
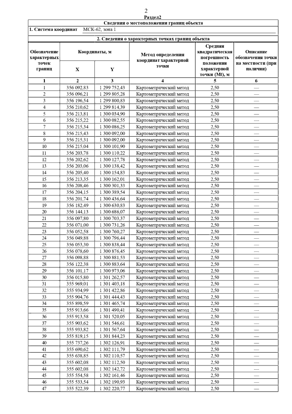
Страница №4 из 8:
Увеличить