Официальное опубликование правовых актов
ОФИЦИАЛЬНОЕ ОПУБЛИКОВАНИЕ
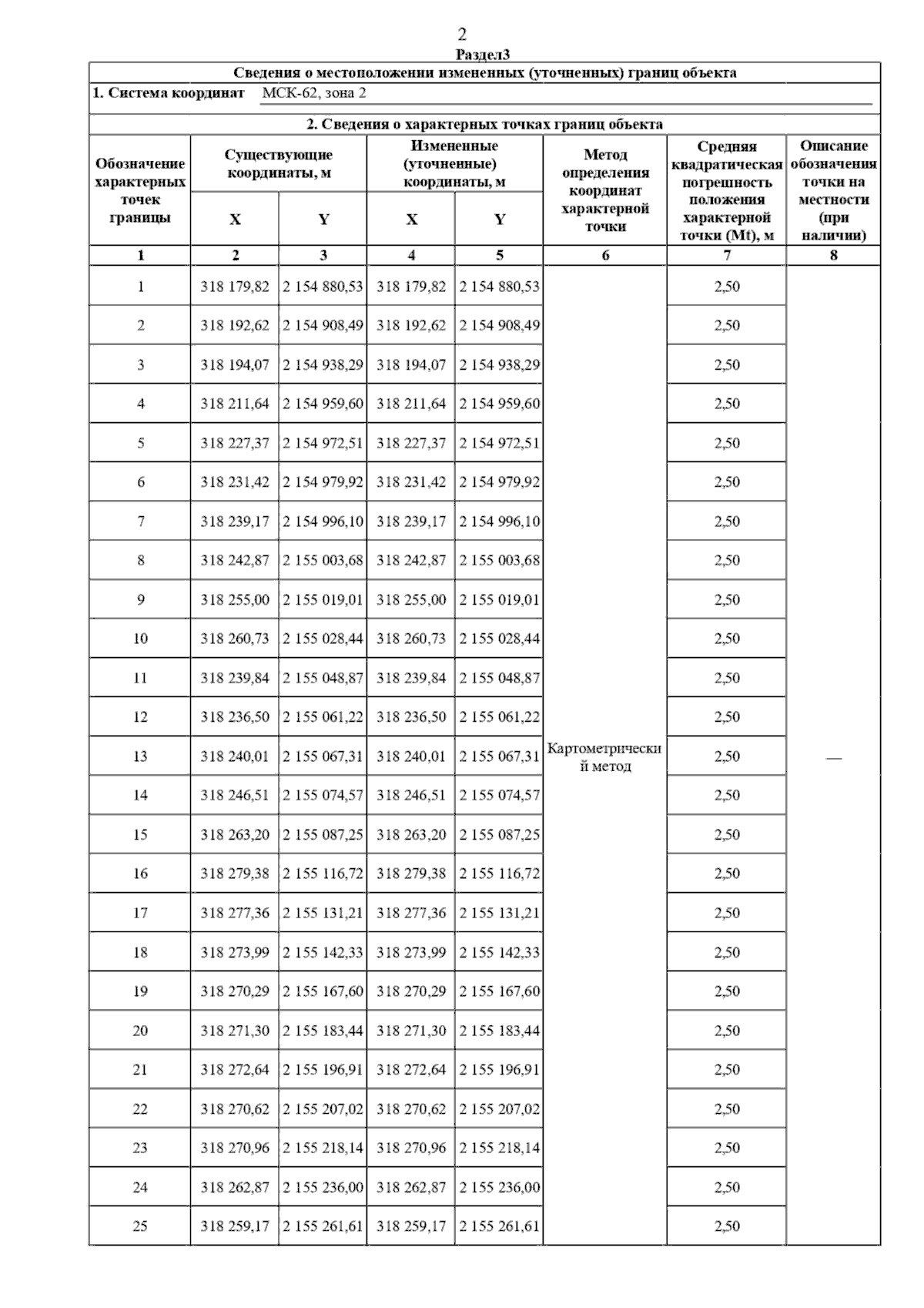
Постановление Главного управления архитектуры и градостроительства Рязанской области от 03.09.2025 № 743-п
"О внесении изменений в генеральный план муниципального образования – Нижнеякимецкое сельское поселение Александро-Невского муниципального района Рязанской области"
(Зарегистрирован 04.09.2025 № 1084)
Номер опубликования: 6201202509090005
Дата опубликования: 09.09.2025
Страница №4 из 6:
Увеличить