Официальное опубликование правовых актов
ОФИЦИАЛЬНОЕ ОПУБЛИКОВАНИЕ
Постановление Главного управления архитектуры и градостроительства Рязанской области от 03.09.2025 № 742-п
"О внесении изменений в правила землепользования и застройки муниципального образования - Лесновское городское поселение Шиловского муниципального района Рязанской области"
(Зарегистрирован 04.09.2025 № 1083)
Номер опубликования: 6201202509090007
Дата опубликования: 09.09.2025
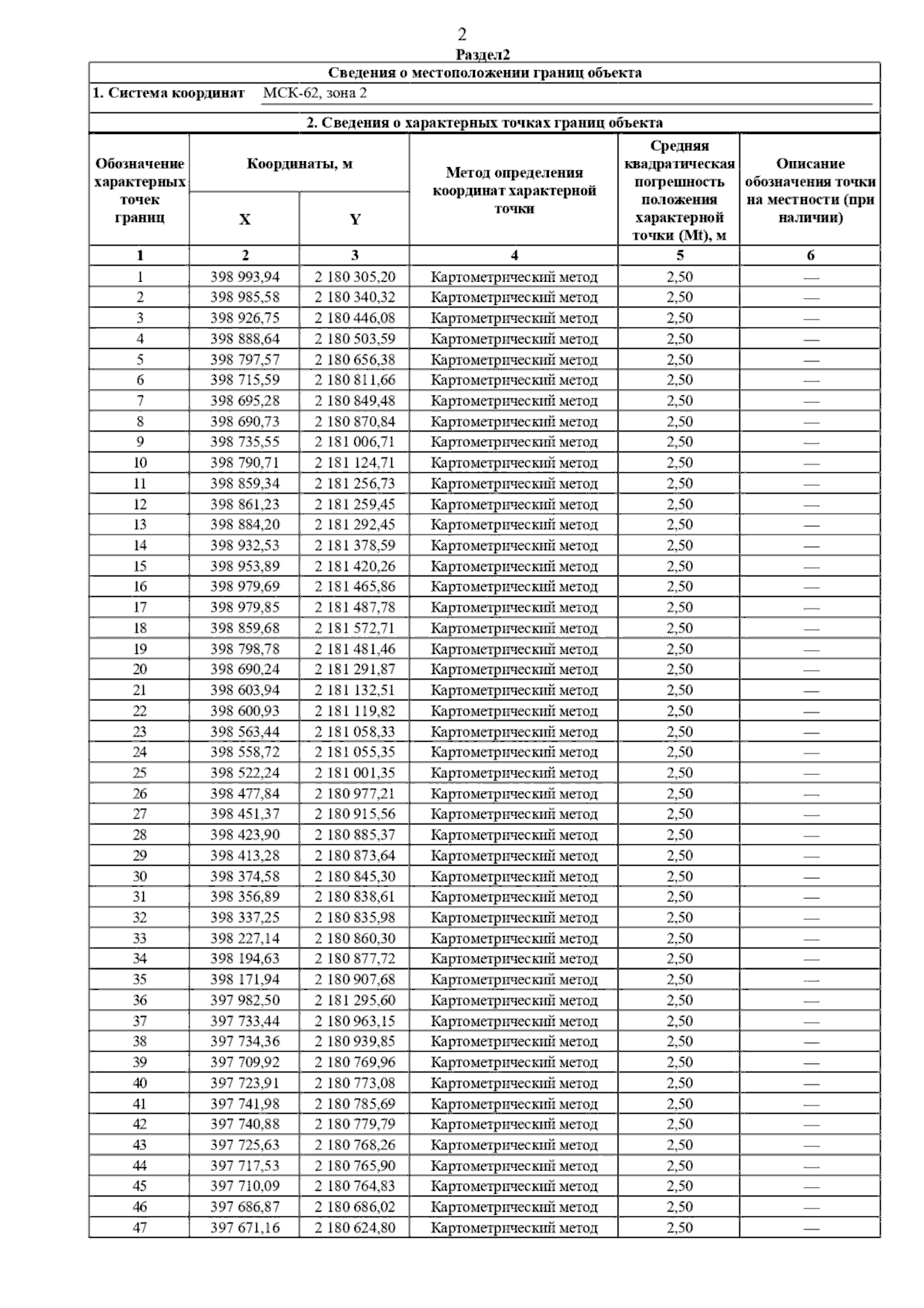
Страница №5 из 74:
Увеличить