Официальное опубликование правовых актов
ОФИЦИАЛЬНОЕ ОПУБЛИКОВАНИЕ
Постановление Главного управления архитектуры и градостроительства Рязанской области от 22.09.2025 № 813-п
"О внесении изменений в правила землепользования и застройки муниципального образования – Сапожковское городское поселение Сапожковского муниципального района Рязанской области"
(Зарегистрирован 23.09.2025 № 1169)
Номер опубликования: 6201202509260001
Дата опубликования: 26.09.2025
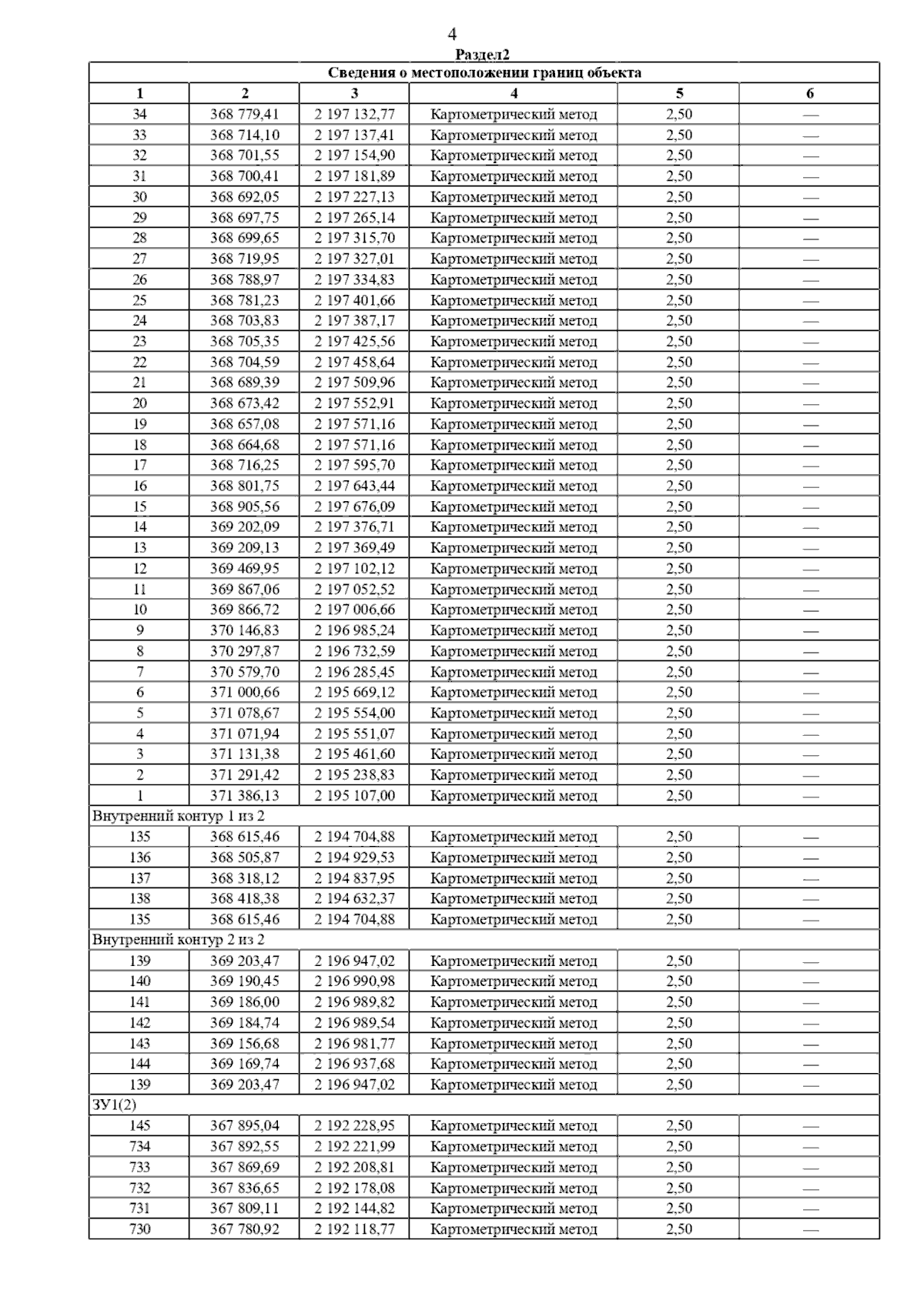
Страница №8 из 192:
Увеличить