Официальное опубликование правовых актов
ОФИЦИАЛЬНОЕ ОПУБЛИКОВАНИЕ
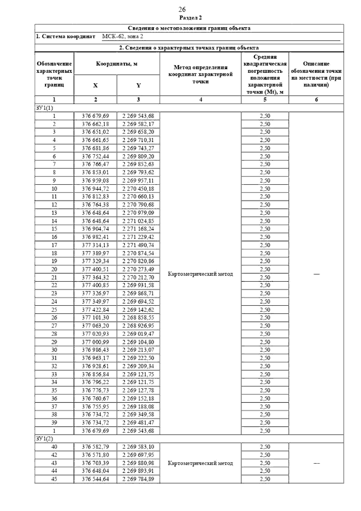
Постановление Главного управления архитектуры и градостроительства Рязанской области от 24.09.2025 № 817-п
"О внесении изменений в правила землепользования и застройки муниципального образования – Польно-Ялтуновское сельское поселение Шацкого муниципального района Рязанской области"
(Зарегистрирован 24.09.2025 № 1176)
Номер опубликования: 6201202509260006
Дата опубликования: 26.09.2025
Страница №35 из 38:
Увеличить