Официальное опубликование правовых актов
ОФИЦИАЛЬНОЕ ОПУБЛИКОВАНИЕ
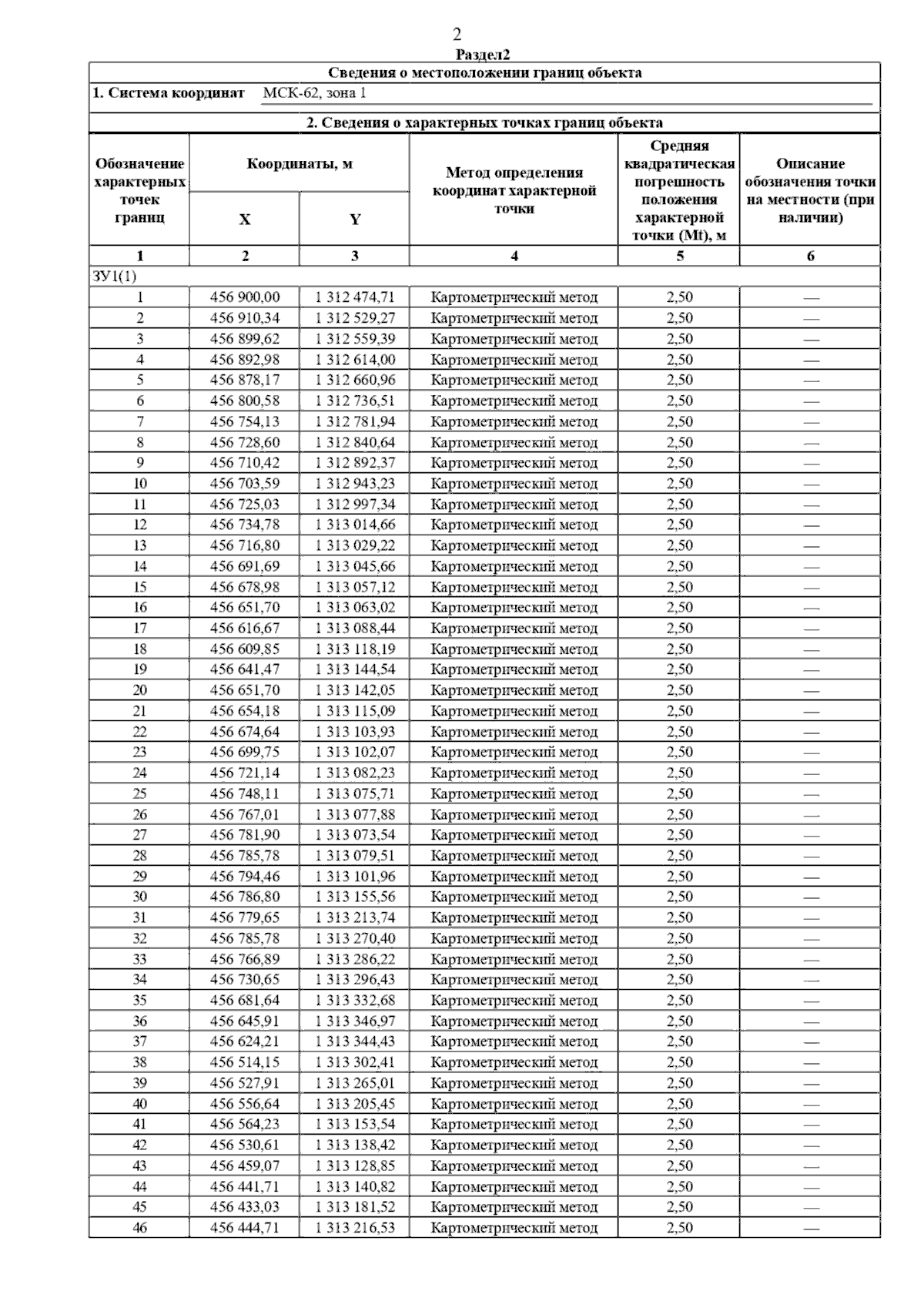
Постановление Главного управления архитектуры и градостроительства Рязанской области от 25.09.2025 № 823-п
"О внесении изменений в правила землепользования и застройки муниципального образования – Баграмовское сельское поселение Рыбновского муниципального района Рязанской области"
(Зарегистрирован 26.09.2025 № 1184)
Номер опубликования: 6201202509300001
Дата опубликования: 30.09.2025
Страница №7 из 54:
Увеличить