Официальное опубликование правовых актов
ОФИЦИАЛЬНОЕ ОПУБЛИКОВАНИЕ
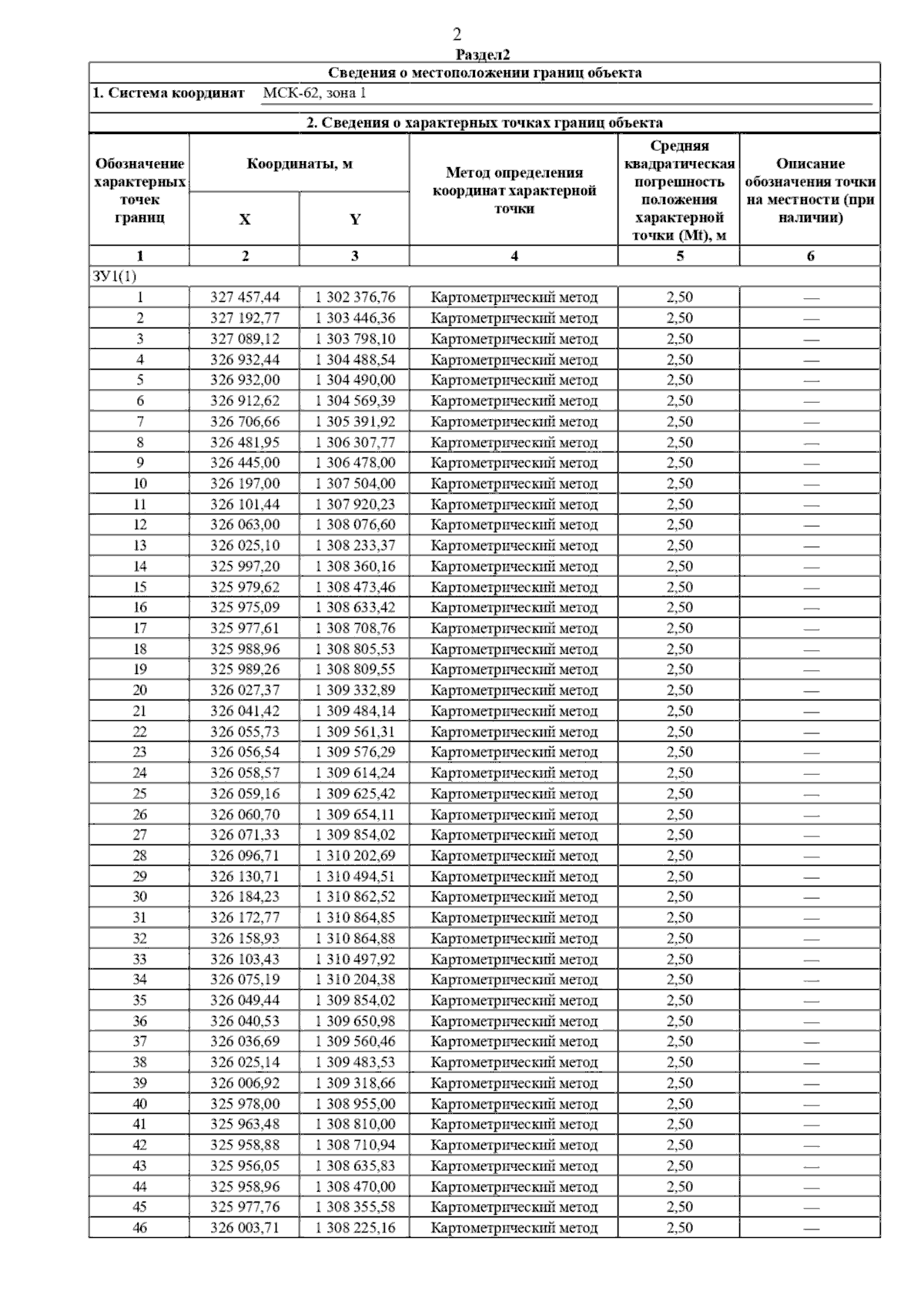
Постановление Главного управления архитектуры и градостроительства Рязанской области от 25.09.2025 № 821-п
"О внесении изменений в правила землепользования и застройки муниципального образования – Милославское сельское поселение Милославского муниципального района Рязанской области"
(Зарегистрирован 26.09.2025 № 1182)
Номер опубликования: 6201202509300002
Дата опубликования: 30.09.2025
Страница №5 из 15:
Увеличить