Официальное опубликование правовых актов
ОФИЦИАЛЬНОЕ ОПУБЛИКОВАНИЕ
Постановление Главного управления архитектуры и градостроительства Рязанской области от 25.09.2025 № 820-п
"О внесении изменений в правила землепользования и застройки муниципального образования – Михальское сельское поселение Спасского муниципального района Рязанской области"
(Зарегистрирован 26.09.2025 № 1181)
Номер опубликования: 6201202509300003
Дата опубликования: 30.09.2025
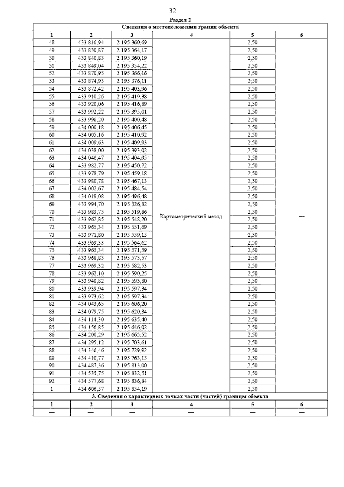
Страница №42 из 80:
Увеличить