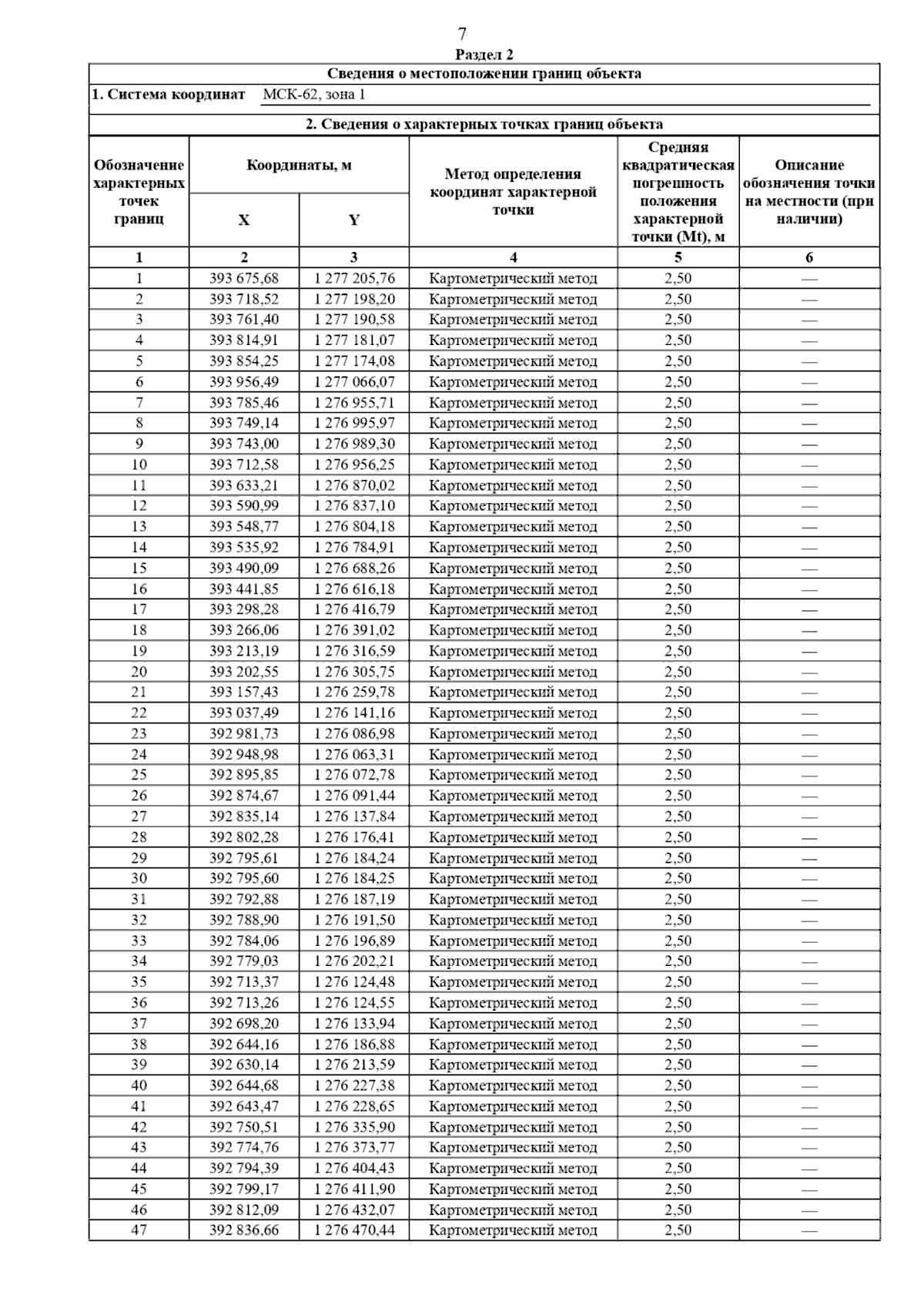
Постановление Главного управления архитектуры и градостроительства Рязанской области от 25.09.2025 № 824-п
"Об утверждении генерального плана муниципального образования – Михайловский муниципальный округ Рязанской области применительно к территориям Стрелецко-Высельского сельского округа, р.п. Октябрьский, д. Серебрянь с прилегающей территорией в кадастровых кварталах 62:08:0050106, 62:08:0023803, 62:08:0023806, 62:08:0023807 за исключением территории, расположенной в границах Виленского и Горностаевского сельских округов Михайловского района Рязанской области"
(Зарегистрирован 26.09.2025 № 1185)
"Об утверждении генерального плана муниципального образования – Михайловский муниципальный округ Рязанской области применительно к территориям Стрелецко-Высельского сельского округа, р.п. Октябрьский, д. Серебрянь с прилегающей территорией в кадастровых кварталах 62:08:0050106, 62:08:0023803, 62:08:0023806, 62:08:0023807 за исключением территории, расположенной в границах Виленского и Горностаевского сельских округов Михайловского района Рязанской области"
(Зарегистрирован 26.09.2025 № 1185)
Номер опубликования: 6201202510010001
Дата опубликования:
01.10.2025