Официальное опубликование правовых актов
ОФИЦИАЛЬНОЕ ОПУБЛИКОВАНИЕ
Постановление Главного управления архитектуры и градостроительства Рязанской области от 25.09.2025 № 825-п
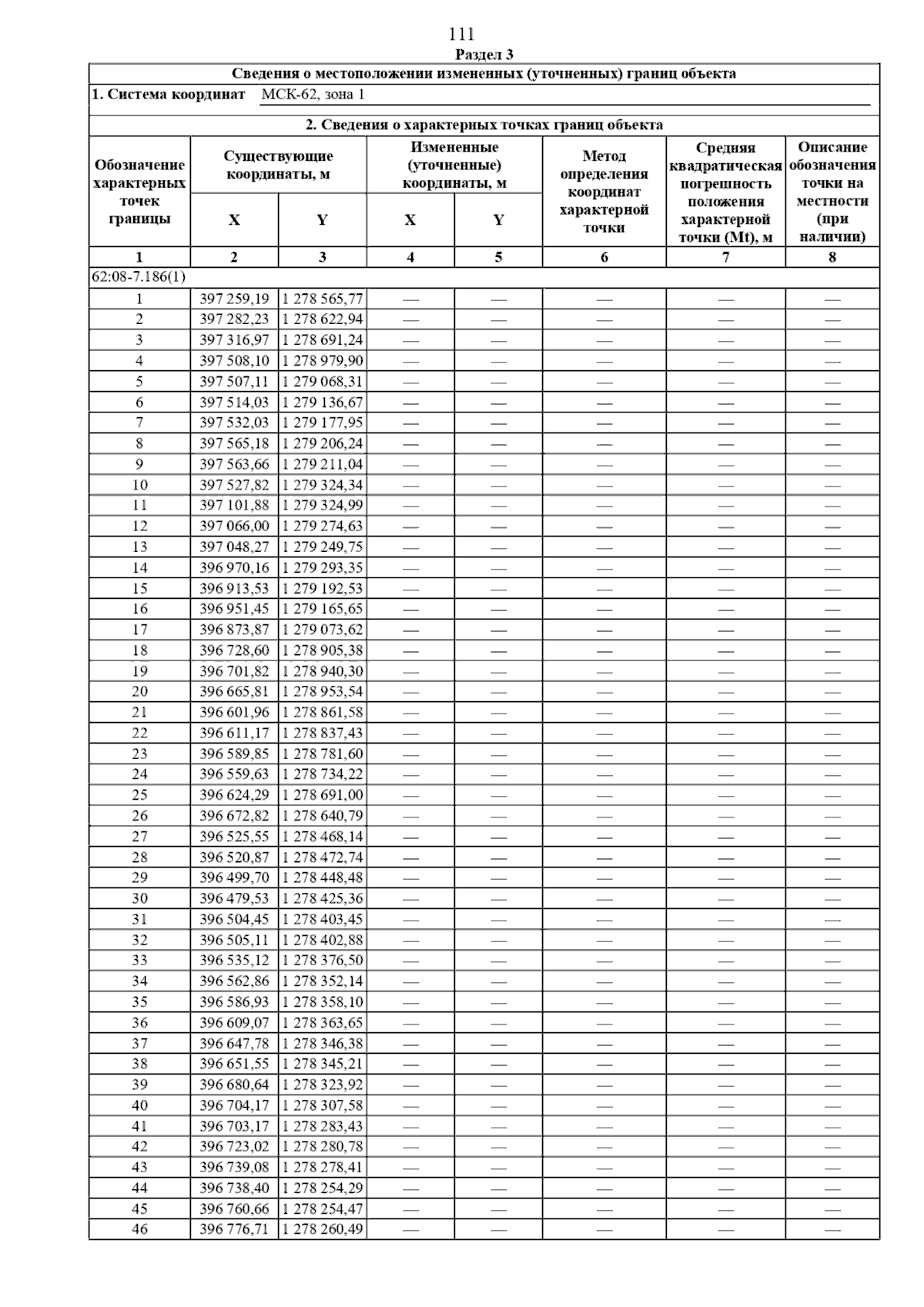
"Об утверждении правил землепользования и застройки муниципального образования – Михайловский муниципальный округ Рязанской области применительно к территориям Стрелецко-Высельского сельского округа, р.п. Октябрьский, д. Серебрянь с прилегающей территорией в кадастровых кварталах 62:08:0050106, 62:08:0023803, 62:08:0023806, 62:08:0023807 за исключением территории, расположенной в границах Виленского и Горностаевского сельских округов Михайловского района Рязанской области"
(Зарегистрирован 26.09.2025 № 1186)
Номер опубликования: 6201202510010003
Дата опубликования: 01.10.2025
Страница №168 из 253:
Увеличить