Официальное опубликование правовых актов
ОФИЦИАЛЬНОЕ ОПУБЛИКОВАНИЕ
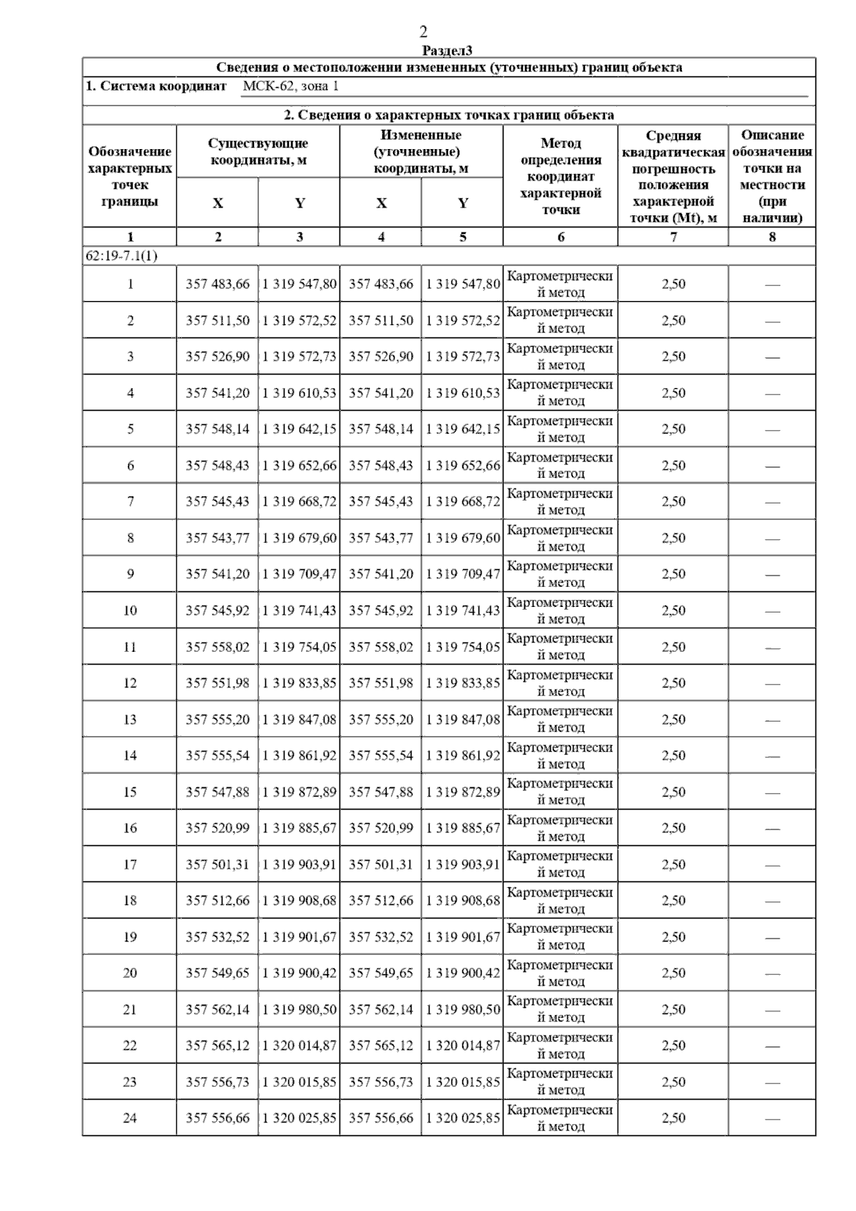
Постановление Главного управления архитектуры и градостроительства Рязанской области от 26.09.2025 № 834-п
"О внесении изменений в правила землепользования и застройки муниципального образования – Успенское сельское поселение Скопинского муниципального района Рязанской области"
(Зарегистрирован 26.09.2025 № 1195)
Номер опубликования: 6201202510020005
Дата опубликования: 02.10.2025
Страница №17 из 44:
Увеличить