Официальное опубликование правовых актов
ОФИЦИАЛЬНОЕ ОПУБЛИКОВАНИЕ
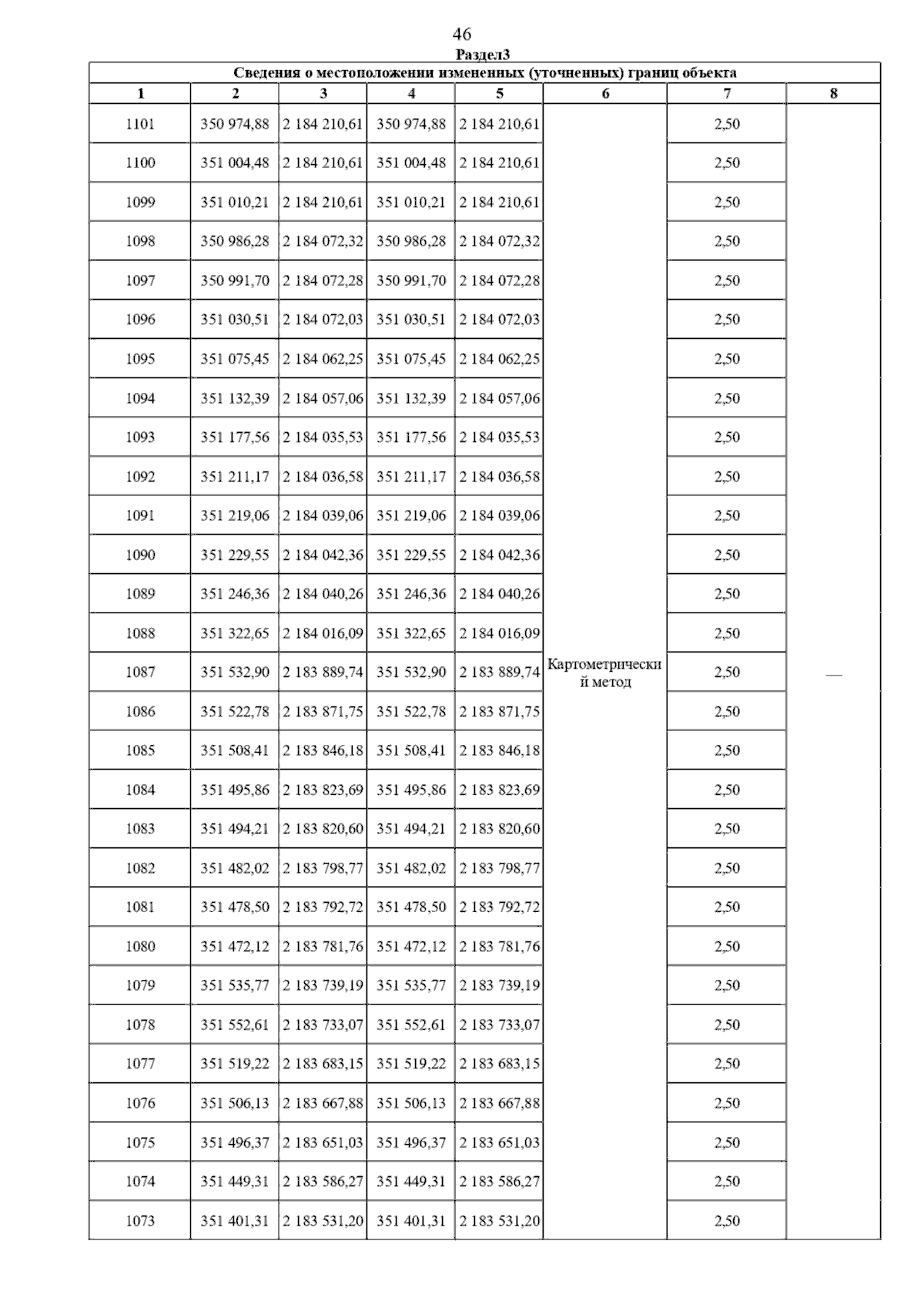
Постановление Главного управления архитектуры и градостроительства Рязанской области от 26.09.2025 № 835-п
"О внесении изменений в правила землепользования и застройки муниципального образования – Ухоловское городское поселение Ухоловского муниципального района Рязанской области"
(Зарегистрирован 26.09.2025 № 1196)
Номер опубликования: 6201202510020006
Дата опубликования: 02.10.2025
Страница №56 из 120:
Увеличить