Официальное опубликование правовых актов
ОФИЦИАЛЬНОЕ ОПУБЛИКОВАНИЕ
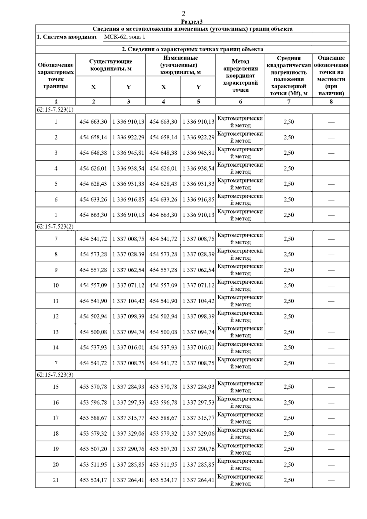
Постановление Главного управления архитектуры и градостроительства Рязанской области от 26.09.2025 № 830-п
"О внесении изменений в правила землепользования и застройки муниципального образования – Полянское сельское поселение Рязанского муниципального района Рязанской области"
(Зарегистрирован 26.09.2025 № 1191)
Номер опубликования: 6201202510020010
Дата опубликования: 02.10.2025
Страница №41 из 46:
Увеличить