Официальное опубликование правовых актов
ОФИЦИАЛЬНОЕ ОПУБЛИКОВАНИЕ
Постановление Главного управления архитектуры и градостроительства Рязанской области от 29.09.2025 № 839-п
"О внесении изменений в правила землепользования и застройки муниципального образования – Инякинское сельское поселение Шиловского муниципального района Рязанской области"
(Зарегистрирован 29.09.2025 № 1201)
Номер опубликования: 6201202510030002
Дата опубликования: 03.10.2025
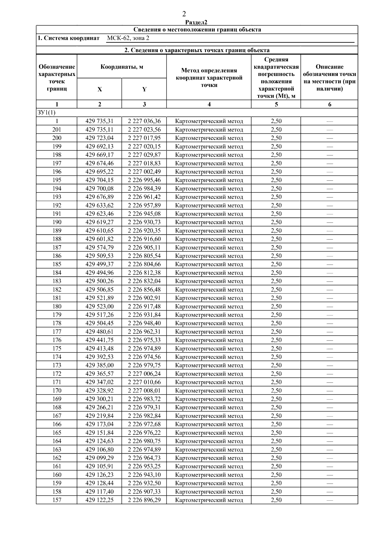
Страница №4 из 301:
Увеличить