Официальное опубликование правовых актов
ОФИЦИАЛЬНОЕ ОПУБЛИКОВАНИЕ
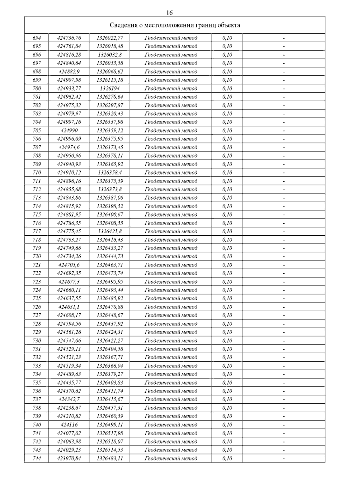
Постановление Главного управления архитектуры и градостроительства Рязанской области от 30.09.2025 № 852-п
"О внесении изменений в правила землепользования и застройки муниципального образования – Окское сельское поселение Рязанского муниципального района Рязанской области"
(Зарегистрирован 01.10.2025 № 1217)
Номер опубликования: 6201202510060001
Дата опубликования: 06.10.2025
Страница №18 из 178:
Увеличить