Официальное опубликование правовых актов
ОФИЦИАЛЬНОЕ ОПУБЛИКОВАНИЕ
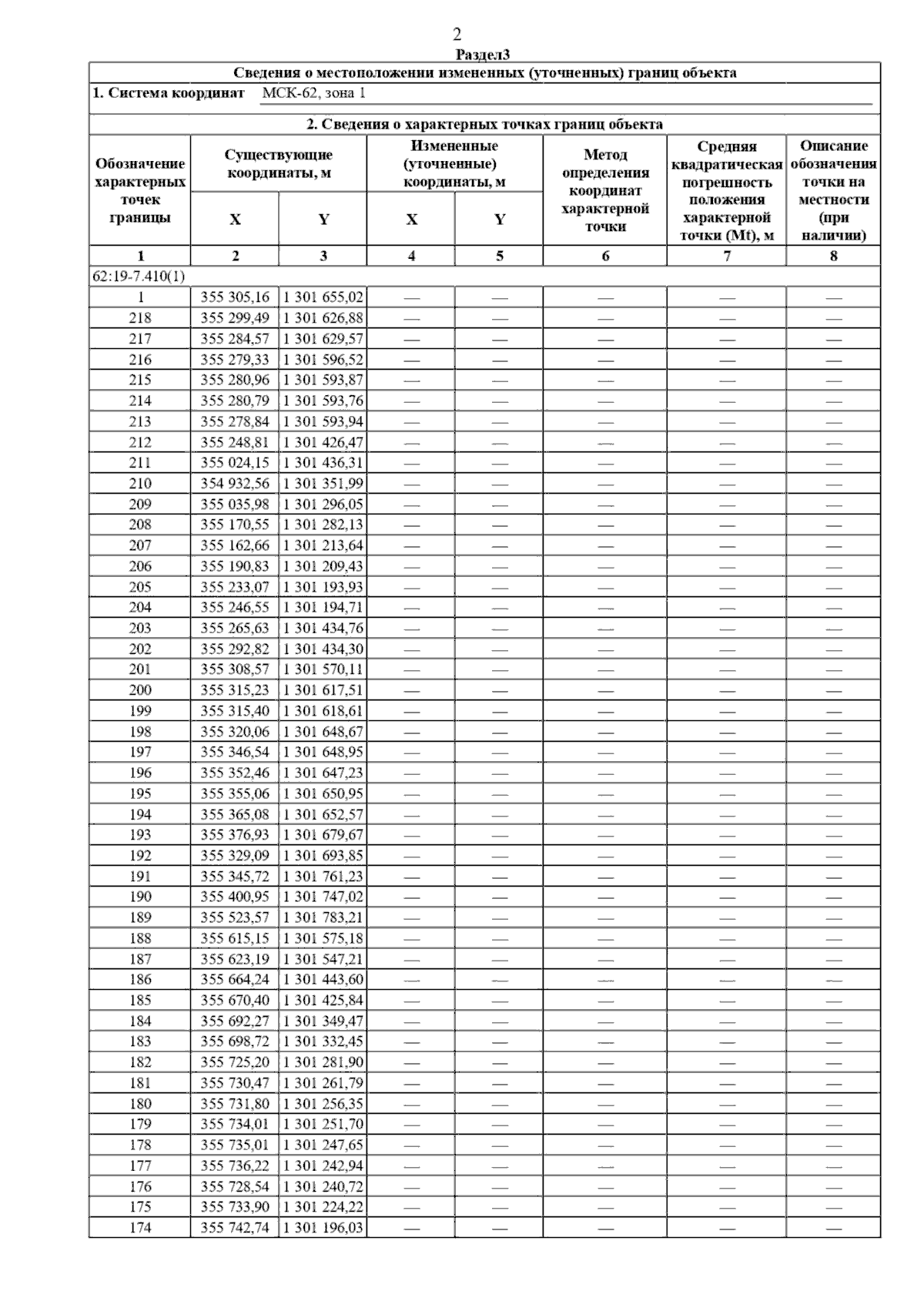
Постановление Главного управления архитектуры и градостроительства Рязанской области от 01.10.2025 № 858-п
"О внесении изменений в правила землепользования и застройки муниципального образования – Павелецкое городское поселение Скопинского муниципального района Рязанской области"
(Зарегистрирован 02.10.2025 № 1225)
Номер опубликования: 6201202510060002
Дата опубликования: 06.10.2025
Страница №131 из 147:
Увеличить