Официальное опубликование правовых актов
ОФИЦИАЛЬНОЕ ОПУБЛИКОВАНИЕ
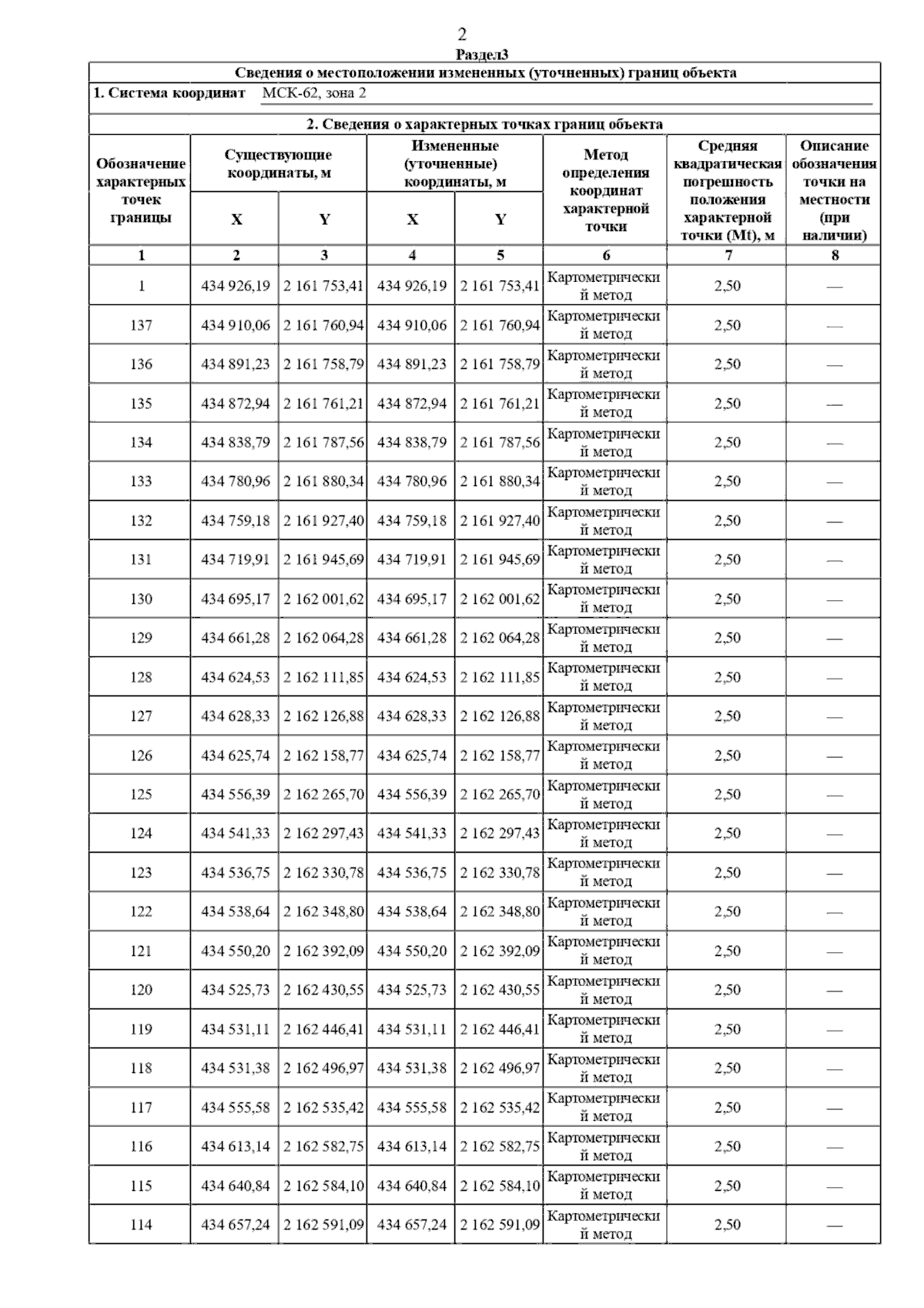
Постановление Главного управления архитектуры и градостроительства Рязанской области от 01.10.2025 № 860-п
"О внесении изменений в правила землепользования и застройки муниципального образования – Панинское сельское поселение Спасского муниципального района Рязанской области"
(Зарегистрирован 02.10.2025 № 1227)
Номер опубликования: 6201202510070001
Дата опубликования: 07.10.2025
Страница №126 из 137:
Увеличить