Официальное опубликование правовых актов
ОФИЦИАЛЬНОЕ ОПУБЛИКОВАНИЕ
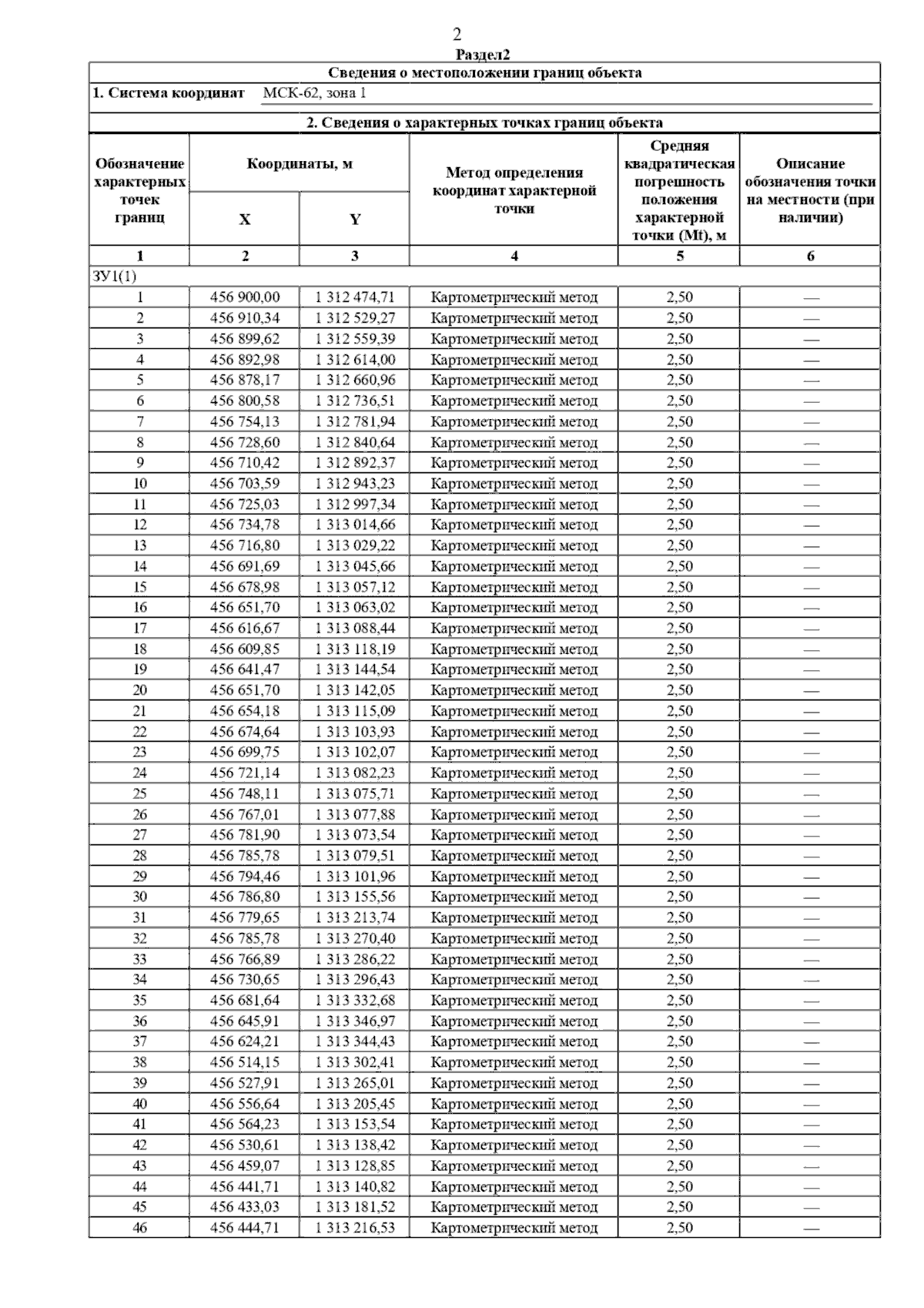
Постановление Главного управления архитектуры и градостроительства Рязанской области от 09.10.2025 № 881-п
"О внесении изменений в правила землепользования и застройки муниципального образования – Баграмовское сельское поселение Рыбновского муниципального района Рязанской области"
(Зарегистрирован 09.10.2025 № 1253)
Номер опубликования: 6201202510100002
Дата опубликования: 10.10.2025
Страница №6 из 56:
Увеличить