Официальное опубликование правовых актов
ОФИЦИАЛЬНОЕ ОПУБЛИКОВАНИЕ
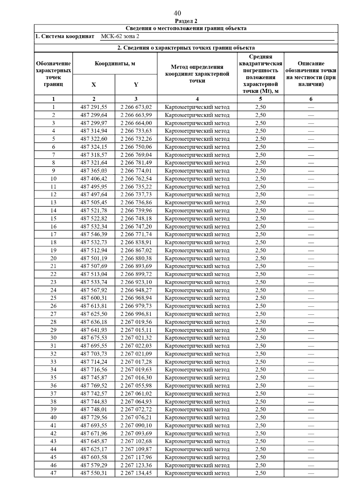
Постановление Главного управления архитектуры и градостроительства Рязанской области от 13.10.2025 № 884-п
"Об утверждении генерального плана муниципального образования - Касимовский муниципальный округ Рязанской области применительно к территориям Ардабьевского и Савостьяновского сельских округов Касимовского района Рязанской области"
(Зарегистрирован 13.10.2025 № 1256)
Номер опубликования: 6201202510150002
Дата опубликования: 15.10.2025
Страница №54 из 66:
Увеличить