Официальное опубликование правовых актов
ОФИЦИАЛЬНОЕ ОПУБЛИКОВАНИЕ
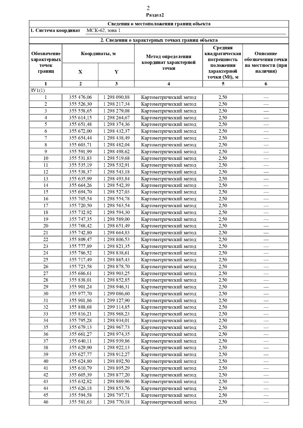
Постановление Главного управления архитектуры и градостроительства Рязанской области от 13.10.2025 № 888-п
"О внесении изменений в правила землепользования и застройки муниципального образования – Павелецкое городское поселение Скопинского района Рязанской области"
(Зарегистрирован 13.10.2025 № 1260)
Номер опубликования: 6201202510150004
Дата опубликования: 15.10.2025
Страница №5 из 11:
Увеличить