Официальное опубликование правовых актов
ОФИЦИАЛЬНОЕ ОПУБЛИКОВАНИЕ
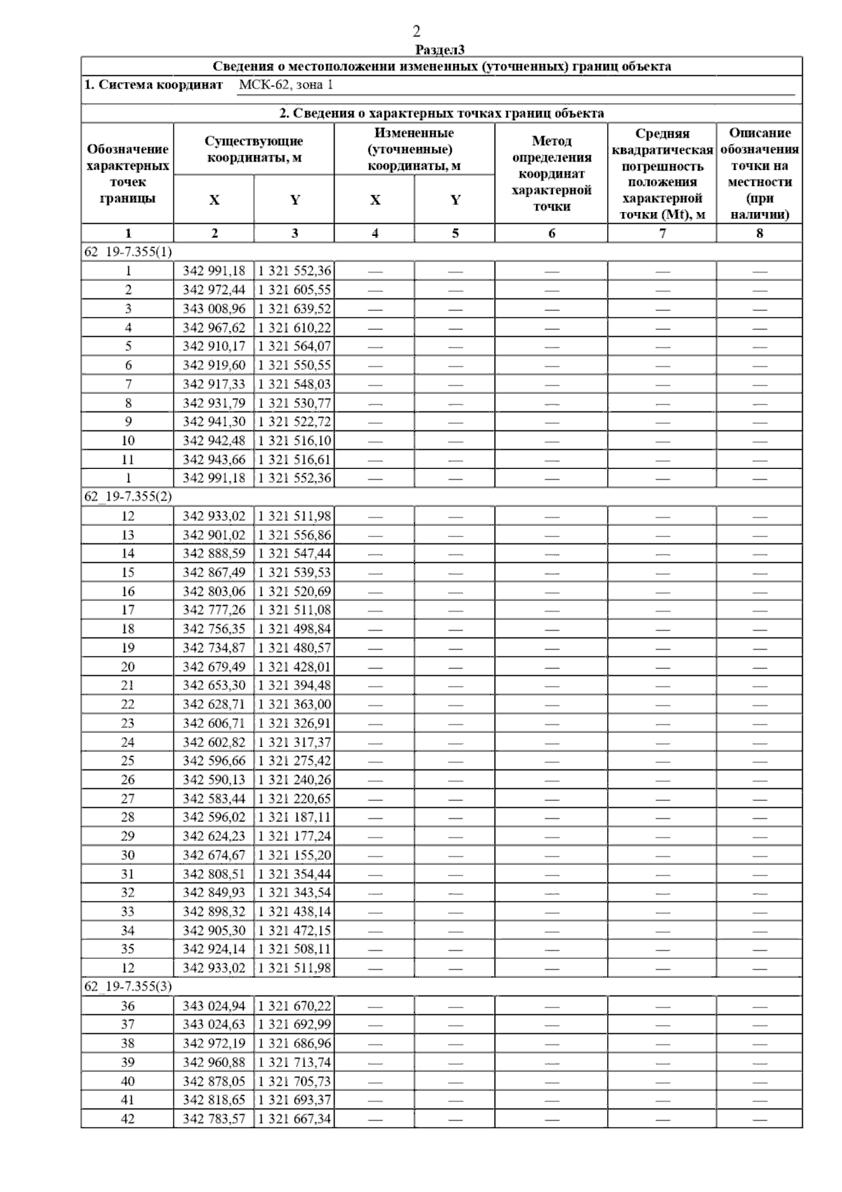
Постановление Главного управления архитектуры и градостроительства Рязанской области от 15.10.2025 № 900-п
"О внесении изменений в правила землепользования и застройки муниципального образования - Побединское городское поселение Скопинского муниципального района Рязанской области"
(Зарегистрирован 16.10.2025 № 1279-п)
Номер опубликования: 6201202510200001
Дата опубликования: 20.10.2025
Страница №4 из 44:
Увеличить