Официальное опубликование правовых актов
ОФИЦИАЛЬНОЕ ОПУБЛИКОВАНИЕ
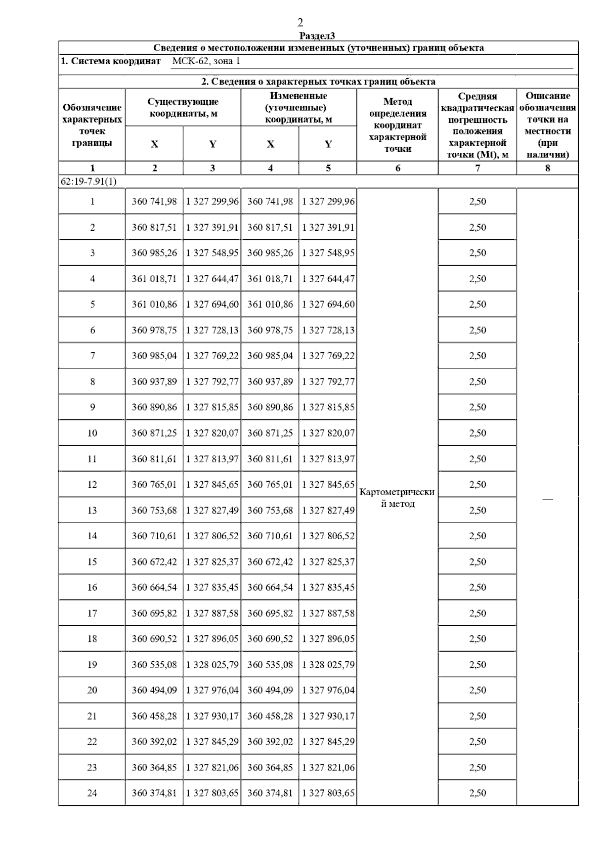
Постановление Главного управления архитектуры и градостроительства Рязанской области от 15.10.2025 № 895-п
"О внесении изменений в правила землепользования и застройки муниципального образования - Вослебовское сельское поселение Скопинского муниципального района Рязанской области"
(Зарегистрирован 16.10.2025 № 1274)
Номер опубликования: 6201202510200005
Дата опубликования: 20.10.2025
Страница №4 из 23:
Увеличить