Официальное опубликование правовых актов
ОФИЦИАЛЬНОЕ ОПУБЛИКОВАНИЕ
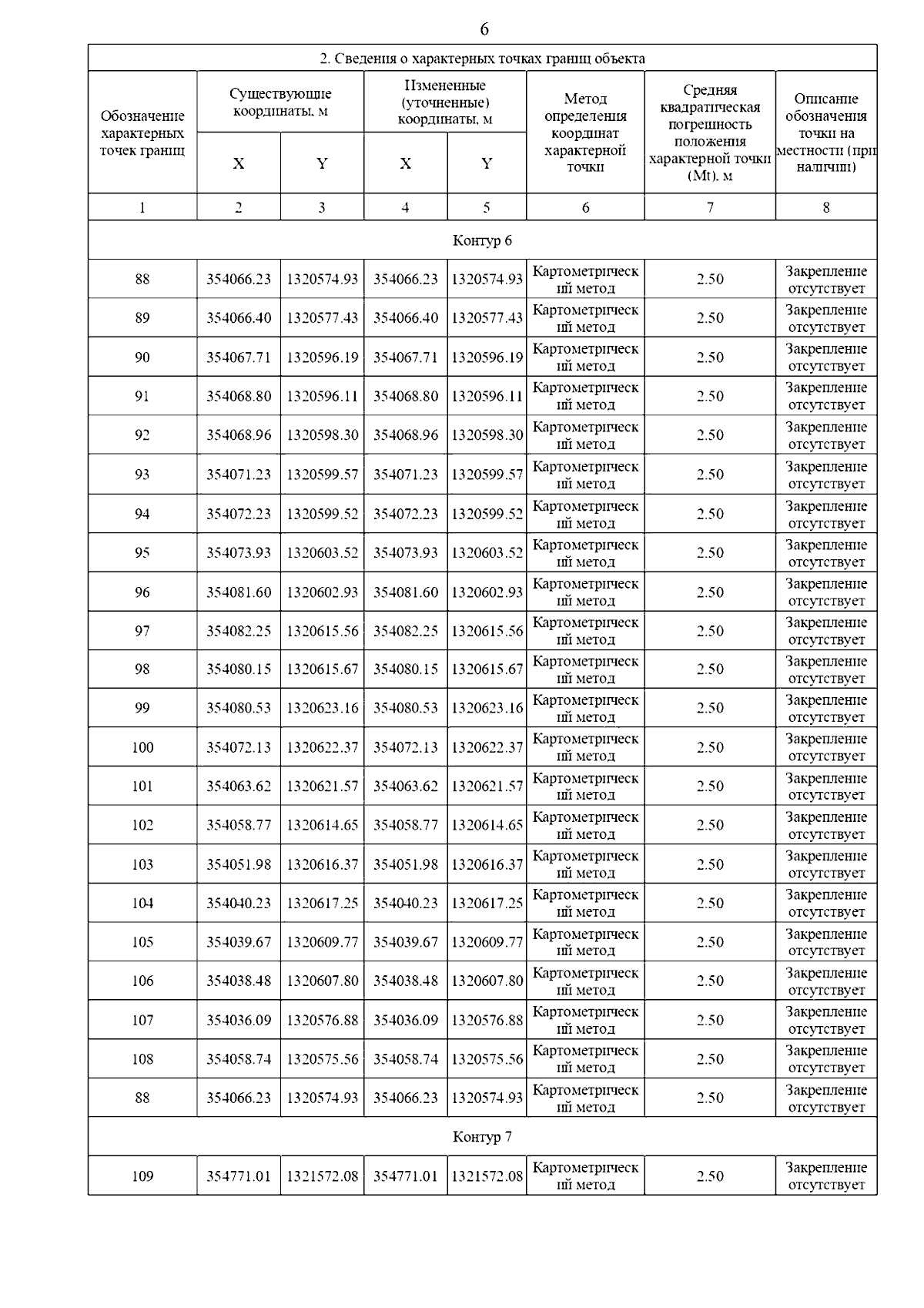
Постановление Главного управления архитектуры и градостроительства Рязанской области от 16.10.2025 № 911-п
"О внесении изменений в правила землепользования и застройки муниципального образования – городской округ город Скопин Рязанской области"
(Зарегистрирован 17.10.2025 № 1292)
Номер опубликования: 6201202510220014
Дата опубликования: 22.10.2025
Страница №122 из 154:
Увеличить