Официальное опубликование правовых актов
ОФИЦИАЛЬНОЕ ОПУБЛИКОВАНИЕ
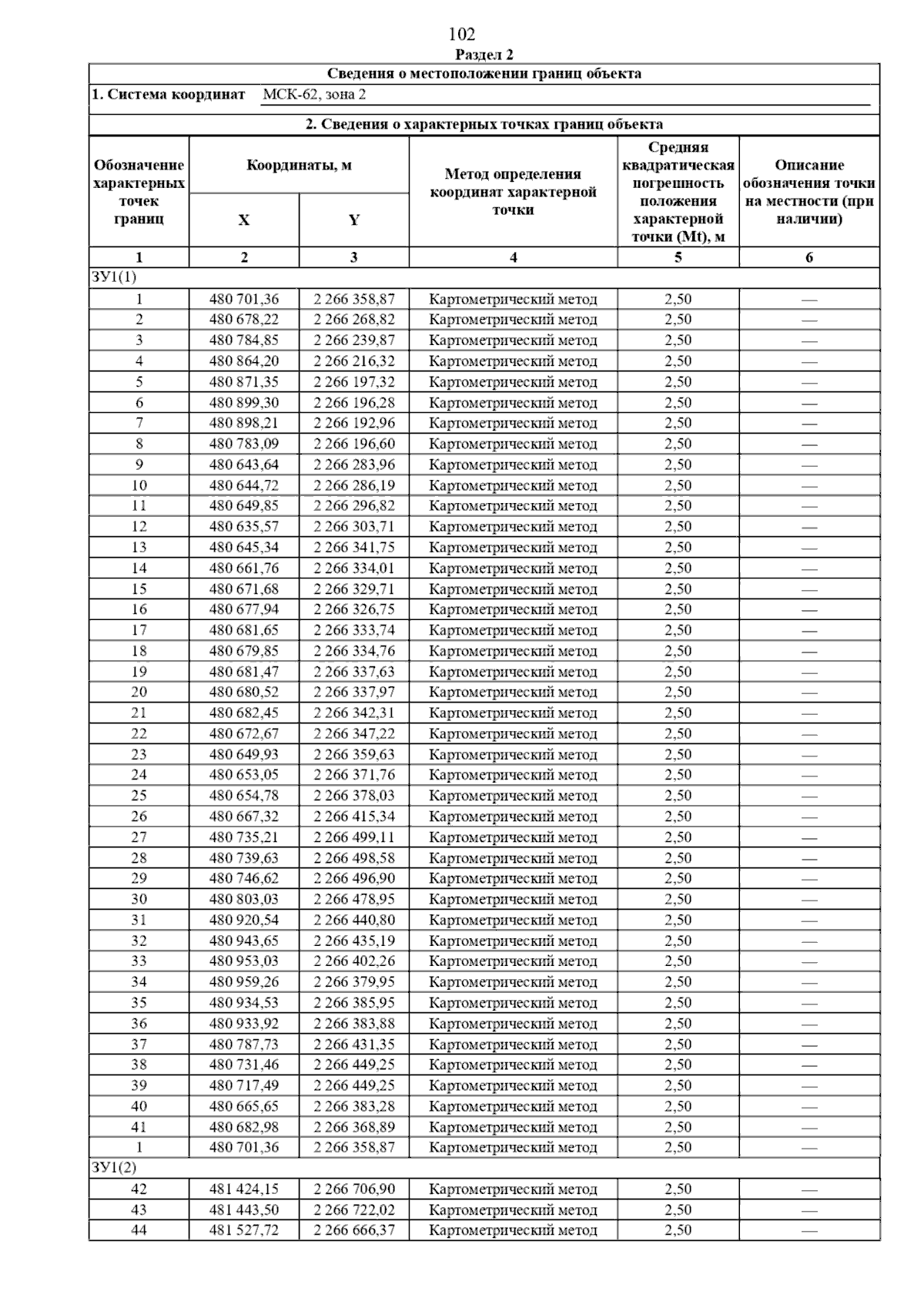
Постановление Главного управления архитектуры и градостроительства Рязанской области от 30.10.2025 № 946-п
"Об утверждении правил землепользования и застройки муниципального образования – Касимовский муниципальный округ Рязанской области применительно к территориям р.п. Елатьма, п. Ласинский, п. Марсевский, п. Центрального отделения совхоза "Маяк", п. Черновский с прилегающей территорией в кадастровых кварталах 62:04:2230101 и 62:04:2230201, за исключением территории, расположенной в границах Ардабьевского, Савостьяновского и Ермоловского сельских округов"
(Зарегистрирован 31.10.2025 № 1343)
Номер опубликования: 6201202511050003
Дата опубликования: 05.11.2025
Страница №159 из 163:
Увеличить