Официальное опубликование правовых актов
ОФИЦИАЛЬНОЕ ОПУБЛИКОВАНИЕ
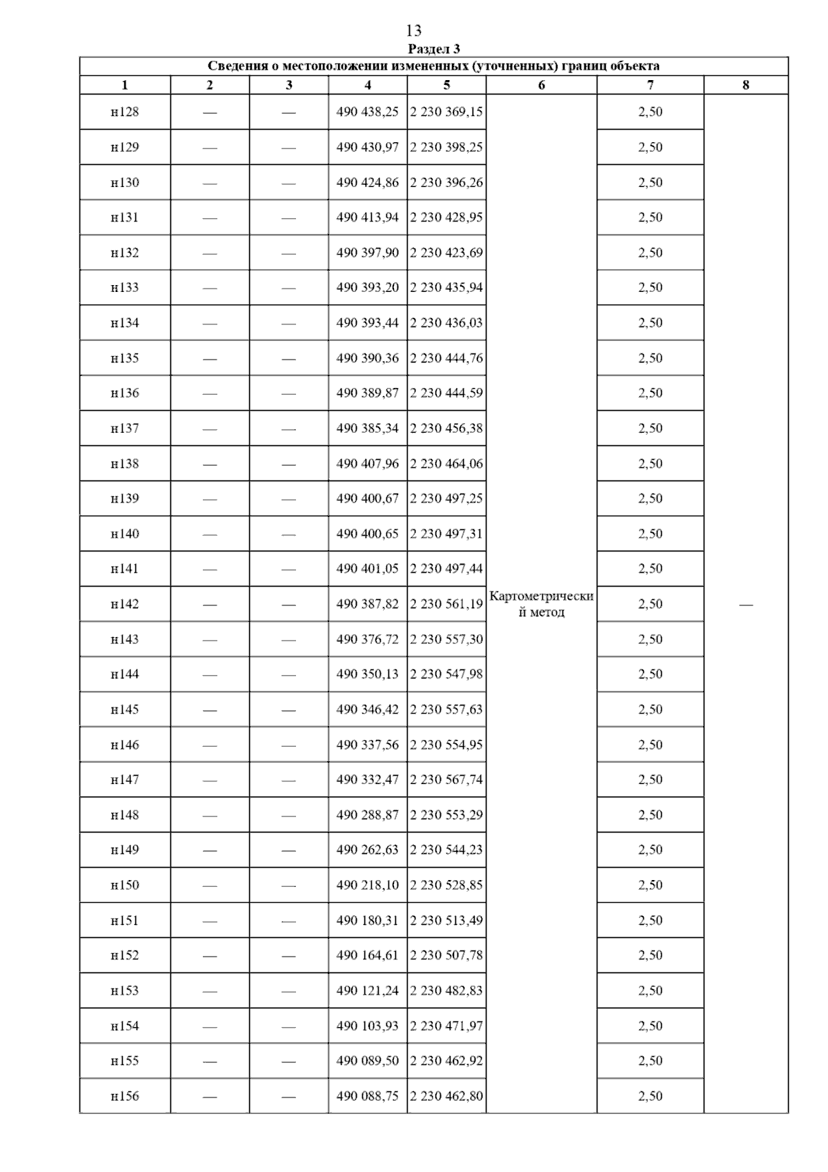
Постановление Главного управления архитектуры и градостроительства Рязанской области от 30.10.2025 № 943-п
"Об утверждении генерального плана муниципального образования - Касимовский муниципальный округ Рязанской области применительно к территориям р.п. Гусь-Железный, п. Красная Нива, с. Лався, д. Чаур, д. Чуликса с прилегающей территорией в кадастровых кварталах 62:04:2210101, 62:04:2210102, 62:04:2210105, 62:04:2240101, 62:04:2240201, 62:04:0490101, за исключением территории, расположенной в границах Погостинского, Гиблицкого, Клетинского, Лощининского, Булгаковского, Торбаевского и Дмитриевского сельских округов, и р.п. Сынтул с территорией в кадастровых кварталах 62:04:0040102, 62:04:0040103"
(Зарегистрирован 31.10.2025 № 1340)
Номер опубликования: 6201202511050012
Дата опубликования: 05.11.2025
Страница №26 из 81:
Увеличить