Официальное опубликование правовых актов
ОФИЦИАЛЬНОЕ ОПУБЛИКОВАНИЕ
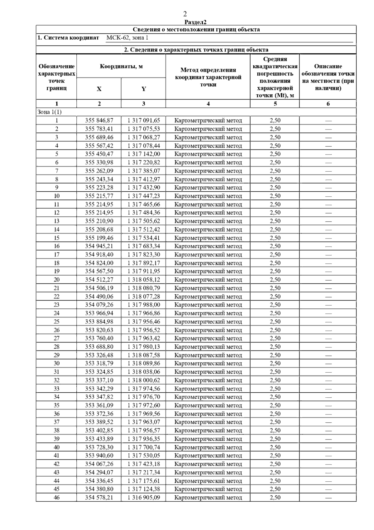
Постановление Главного управления архитектуры и градостроительства Рязанской области от 31.10.2025 № 954-п
"О внесении изменений в правила землепользования и застройки муниципального образования - Корневское сельское поселение Скопинского муниципального района Рязанской области"
(Зарегистрирован 05.11.2025 № 1351)
Номер опубликования: 6201202511060002
Дата опубликования: 06.11.2025
Страница №4 из 76:
Увеличить