Официальное опубликование правовых актов
ОФИЦИАЛЬНОЕ ОПУБЛИКОВАНИЕ
Постановление Главного управления архитектуры и градостроительства Рязанской области от 05.11.2025 № 967-п
"О внесении изменений в правила землепользования и застройки муниципального образования – Ухоловское городское поселение Ухоловского муниципального района Рязанской области"
(Зарегистрирован 07.11.2025 № 1367)
Номер опубликования: 6201202511120001
Дата опубликования: 12.11.2025
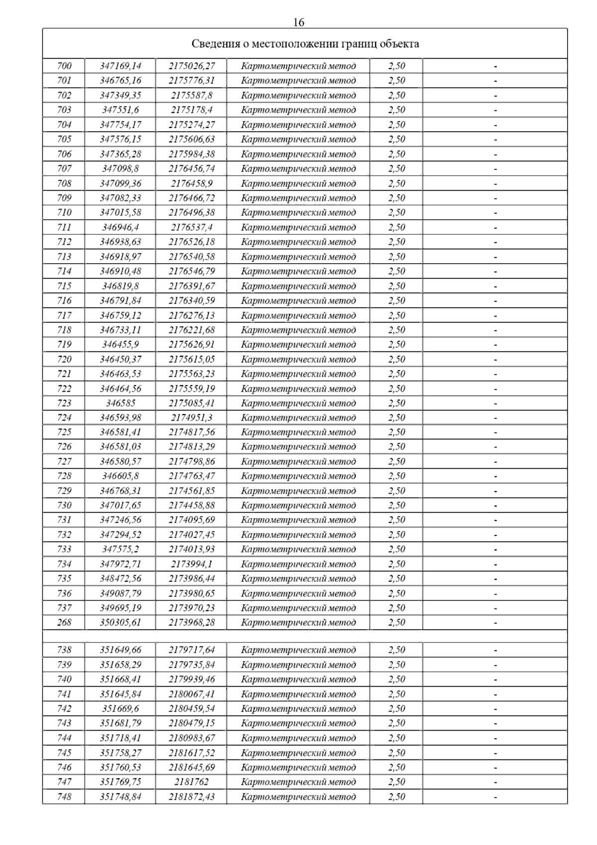
Страница №19 из 51:
Увеличить