Официальное опубликование правовых актов
ОФИЦИАЛЬНОЕ ОПУБЛИКОВАНИЕ
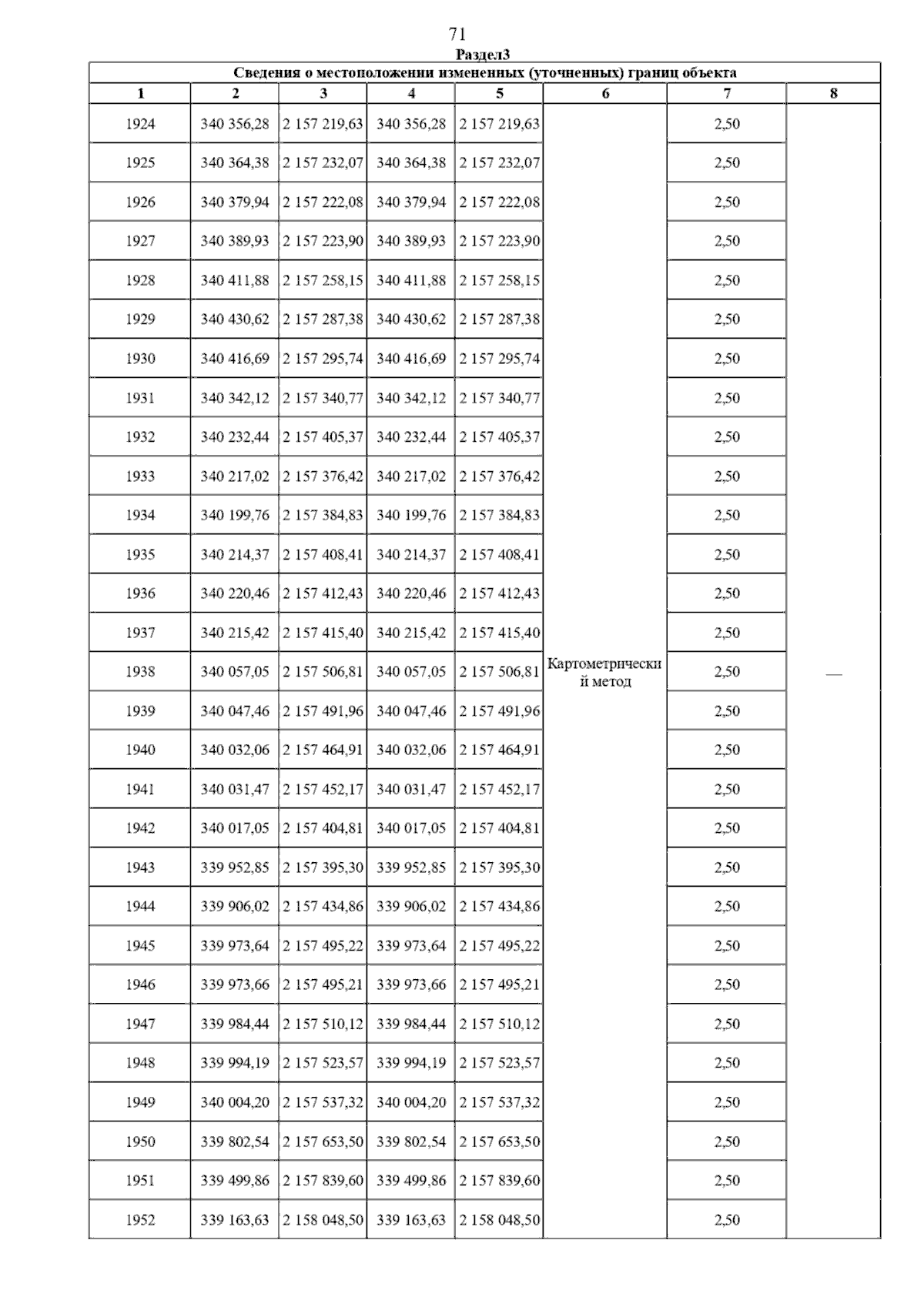
Постановление Главного управления архитектуры и градостроительства Рязанской области от 10.11.2025 № 976-п
"О внесении изменений в правила землепользования и застройки муниципального образования – Ряжский муниципальный округ Рязанской области применительно к территориям города Ряжск с прилегающей территорией, Алешинского и Журавинского сельских округов Ряжского района Рязанской области"
(Зарегистрирован 11.11.2025 № 1381)
Номер опубликования: 6201202511170004
Дата опубликования: 17.11.2025
Страница №73 из 134:
Увеличить