Официальное опубликование правовых актов
ОФИЦИАЛЬНОЕ ОПУБЛИКОВАНИЕ
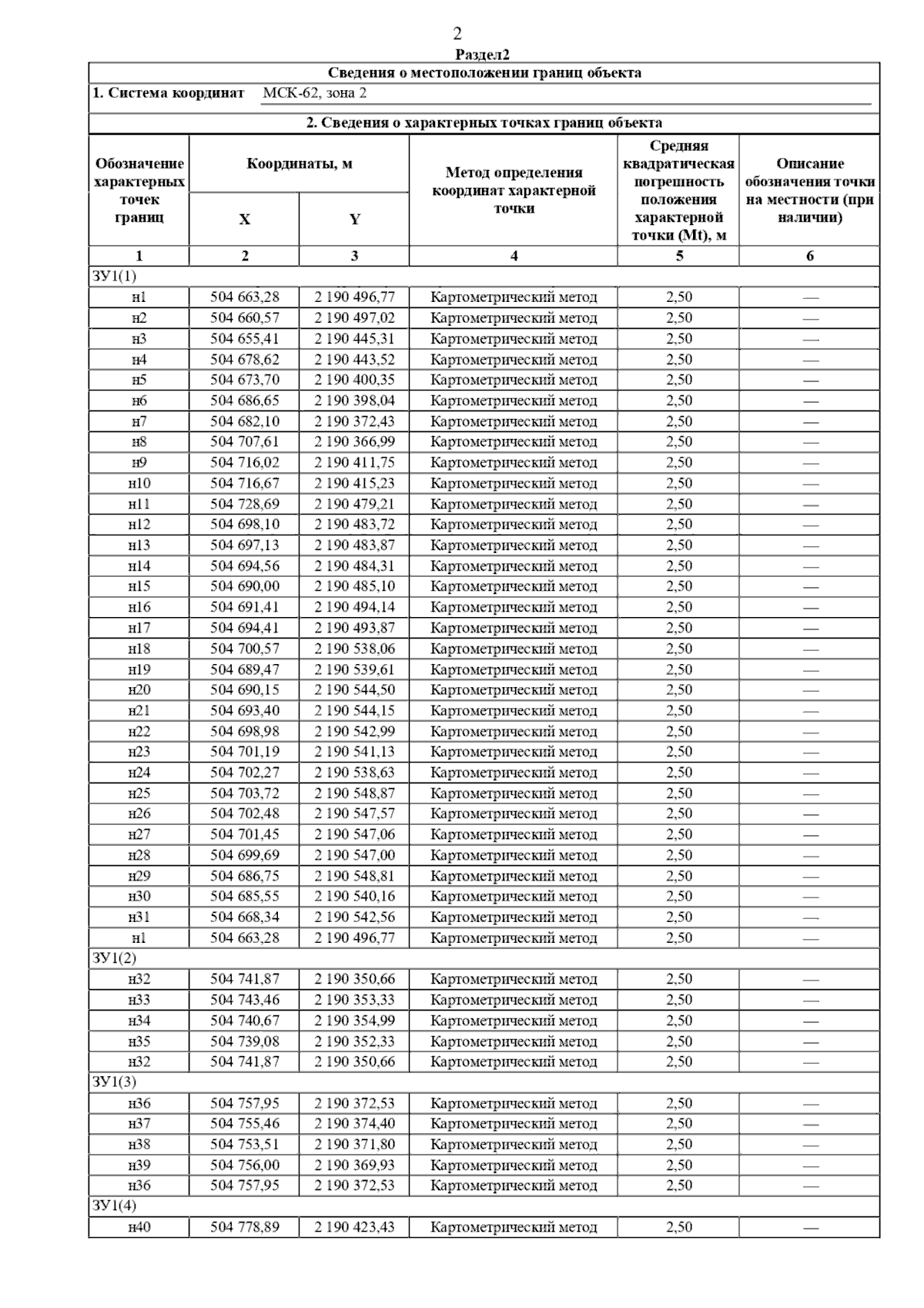
Постановление Главного управления архитектуры и градостроительства Рязанской области от 19.11.2025 № 991-п
"О внесении изменений в правила землепользования и застройки муниципального образования - Молькинское сельское поселение Клепиковского муниципального района Рязанской области"
(Зарегистрирован 20.11.2025 № 1412)
Номер опубликования: 6201202511240010
Дата опубликования: 24.11.2025
Страница №6 из 19:
Увеличить